A clinical case of aromatase excess syndrome associated with 15Q21.2 duplication
https://doi.org/10.14341/probl12446
Abstract
Aromatase excess syndrome (SIA) is a rare autosomal dominant disease caused by increased extraglandular conversion of androgens to estrogens. SIA is characterizedby early gonadotropin-independent hyperestrogenemia, causing pre-pubertal gynecomastia in boys and premature isosexual development in girls. Adults patients have short stature, due to the early closure of epiphyses because of hyperestrogenemia. Women usually have macromastia, endometrial hyperplastic processes and the late onset of menopause. In men, there is a moderate decrease of gonadotropins, leading to secondary hypogonadism. SIA in children can be suspected on a combination of the clinical picture of an excess of estrogens, increased levels of estrogens with low levels of gonadotropins after the exclusion of an estrogen-producing tumor. The frequency of occurrence of SIA is unknown, due to the rarity of the disease and the complexity of its molecular and genetic verification. In this article, we describe a clinical case of a 10-year-old patient with a late diagnosis of aromatase overactivity syndrome caused by a 15q21.2 microduplication of the CYP19A1 gene, and conduct a brief review of the literature.
About the Authors
Yulia V. KasyanovaRussian Federation
MD
Irina Yu. Chernyak
Russian Federation
MD,PhD
Inobatchon K. Voronina
Russian Federation
MD
Natalia Yu. Kalinchenko
Russian Federation
MD, PhD
References
1. Tiulpakov A, Kalintchenko N, Semitcheva T, et al. A potential rearrangement between CYP19 and TRPM7 genes on chromosome 15q21.2 as a cause of aromatase excess syndrome. J Clin Endocrinol Metab. 2005;90(7):4184−4190. doi: 10.1210/jc.2004-2176.
2. Nowakowski H, Lenz W. Genetic aspects in male hypogonadism. Recent Prog Horm Res. 1961;17:53−95.
3. Wallach EE, Garcia CR. Familial gynecomastia without hypogonadism: a report of three cases in one family. J Clin Endocrinol Metab. 1962;22:1201−1206. doi: 10.1210/jcem-22-12-1201.
4. Berkovitz GD, Guerami A, Brown TR, et al. Familial gynecomastia with increased extraglandular aromatization of plasma carbon19-steroids. J Clin Invest. 1985;75(6):1763−1769. doi: 10.1172/JCI111888.
5. Hemsell DL, Edman CD, Marks JF, et al. Massive extranglandular aromatization of plasma androstenedione resulting in feminization of a prepubertal boy. J Clin Invest. 1977;60(2):455−464. doi: 10.1172/JCI108796.
6. Shozu M, Sebastian S, Takayama K, et al. Estrogen excess associated with novel gain-of-function mutations affecting the aromatase gene. N Engl J Med. 2003;348(19):1855−1865. doi: 10.1056/NEJMoa021559.
7. Tan X, Wu X, Chen J, et al. Aromatase excess syndrome in a Chinese boy due to a novel duplication at 15q21.2. J Pediatr Endocrinol Metab. 2019;32(1):85–88. doi: 10.1515/jpem- 2018-0266.
8. Belgorosky A, Baquedano MS, Guercio G, Rivarola MA. Adrenarche: postnatal adrenal zonation and hormonal and metabolic regulation. Horm Res. 2008;70(5):257−267. doi: 10.1159/000157871.
9. Ballerini MG, Gaido V, Rodríguez ME, et al. Prospective and descriptive study on serum androstenedione concentration in healthy children from birth until 18 years of age and its associated factors. Dis Markers. 2017;2017:9238304. doi: 10.1155/2017/9238304.
10. Shozu M, Fukami M, Ogata T. Understanding the pathological manifestations of aromatase excess syndrome: lessons for clinical diagnosis. Expert Rev Endocrinol Metab. 2014;9(4):397−409. doi: 10.1586/17446651.2014.926810.
11. Shihara D, Miyado M, Nakabayashi K, et al. Aromatase excess syndrome in a family with upstream deletion of CYP19A1. Clin Endocrinol (Oxf). 2014;81(2):314−316. doi: 10.1111/cen.12329.
12. Demura M, Martin RM, Shozu M, et al. Regional rearrangements in chromosome 15q21 cause formation of cryptic promoters for the CYP19 (aromatase) gene. Hum Mol Genet. 2007;16(21):2529−2541. doi: 10.1093/hmg/ddm145.
13. Sebastian S, Bulun SE. A highly complex organization of the regulatory region of the human CYP19 (aromatase) gene revealed by the Human Genome Project. J Clin Endocrinol Metab. 2001;86(10):4600−4602. doi: 10.1210/jcem.86.10.7947.
14. Bulun SE, Takayama K, Suzuki T, et al. Organization of the human aromatase p450 (CYP19) gene. Semin Reprod Med. 2004;22(1):5−9. doi: 10.1055/s-2004-823022.
15. Demura M, Reierstad S, Innes JE, Bulun SE. Novel promoter I.8 and promoter usage in the CYP19 (aromatase) gene. Reprod Sci. 2008;15(10):1044−1053. doi: 10.1177/1933719108322441.
16. Harada N, Utsumi T, Takagi Y. Tissue-specific expression of the human aromatase cytochrome P-450 gene by alternative use of multiple exons 1 and promoters, and switching of tissue-specific exons 1 in carcinogenesis. Proc Natl AcadSci U S A. 1993;90(23):11312−11316. doi: 10.1073/pnas.90.23.11312.
17. Simpson ER. Aromatase: biologic relevance of tissue-specific expression. Semin Reprod Med. 2004;22(1):11−23. doi: 10.1055/s-2004-823023.
18. Fukami M, Shozu M, Soneda S, et al. Aromatase excess syndrome: identification of cryptic duplications and deletions leading to gain of function of CYP19A1 and assessment of phenotypic determinants. J Clin Endocrinol Metab. 2011;96(6):E1035−E1043. doi: 10.1210/jc.2011-0145.
19. Wit JM, Hero M, Nunez SB. Aromatase inhibitors in pediatrics. Nat Rev Endocrinol. 2011;8(3):135−147. doi: 10.1038/nrendo.2011.161.
Supplementary files
|
|
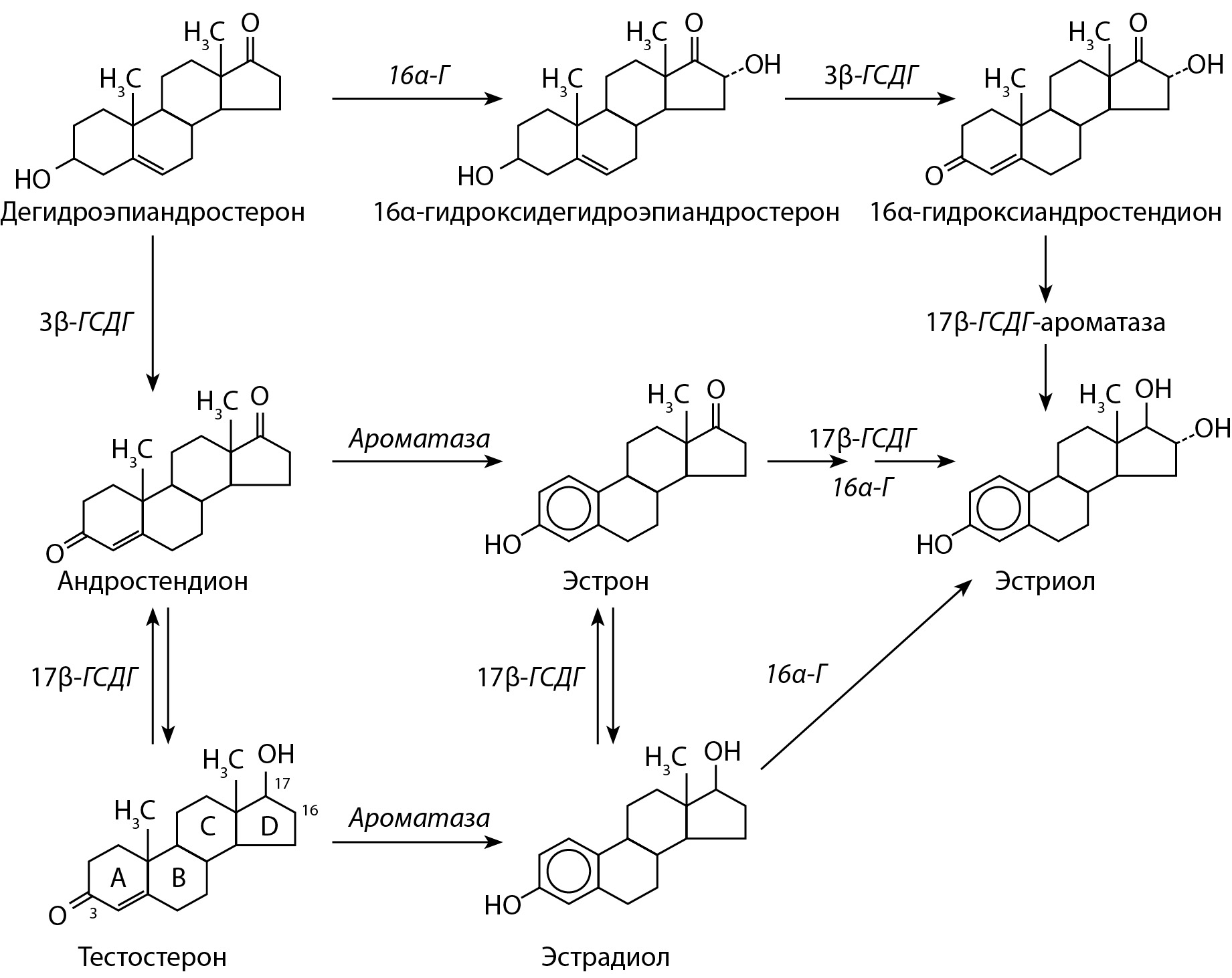
1. Figure 1. Biosynthesis of estrogens. 3β-HSDH - 3β-hydroxysteroid dehydrogenase; 17β-HSDH - 17β-hydroxysteroid dehydrogenase; 16α-G —16α-hydroxylase. | |
| Subject | ||
| Type | Other | |
View
(271KB)
|
Indexing metadata ▾ | |
|
|
2. Figure 2. Molecular cytogenetic study of the CYP19A1 gene. | |
| Subject | ||
| Type | Other | |
View
(280KB)
|
Indexing metadata ▾ | |
|
|
3. Figure 3. Structure of CYP19A1. | |
| Subject | ||
| Type | Other | |
View
(185KB)
|
Indexing metadata ▾ | |
|
|
4. Cyp19a1 genomic structure with expression zones | |
| Subject | ||
| Type | author.submit.suppFile.figureResearchMaterials | |
View
(27KB)
|
Indexing metadata ▾ | |
Review
For citations:
Kasyanova Yu.V., Chernyak I.Yu., Voronina I.K., Kalinchenko N.Yu. A clinical case of aromatase excess syndrome associated with 15Q21.2 duplication. Problems of Endocrinology. 2020;66(2):79-84. (In Russ.) https://doi.org/10.14341/probl12446
This work is licensed under a Creative Commons Attribution-NonCommercial-NoDerivatives 4.0 International License (CC BY-NC-ND 4.0).




































.jpg)

