Insulin level, glycemia, insulin resistance and β-cell function in relation to the lifestyle of Arctic indigenous people. Are there conditions for diabetes and which type?
https://doi.org/10.14341/probl13411
Abstract
BACKGROUND: Modern studies suggest that lifestyle changes of the indigenous Arctic residents lead to the loss of the “adaptive polar type of metabolism”, which is characterized by the intensification of protein metabolism, optimization of lipid metabolism, and minimization of carbohydrate metabolism at low insulin concentrations. How to survive the era of change?
AIM: To assess insulinemia, glycemia, β-cell secretory activity, and insulin sensitivity in Arctic indigenous people in relation to their lifestyle.
MATERIALS AND METHODS: A cross-sectional study of a population of indigenous Arctic residents (Nenets, Komi) aged from 22 to 60 years was conducted. Insulin levels were studied in blood serum using ELISA, and glucose levels using the spectrophotometric method. Insulin resistance (HOMA-IR) and β-cell function (HOMA1-%β) indices were calculated.
RESULTS: 397 people were examined; 89 (22%) of them were nomadic people (NP) and 44 (49%) were male. Another 308 (78%) were sedentary people (SP), and 69 (22%) were male. The insulin level was significantly lower in NP (6.0 [3.5–11.8] µU/ml) compared to SP (8.3 [4.6–13.1] µU/ml), p=0.006. There was no difference in glycemia (4.6 [4.2–5.0] in NP and 4.6 [4.1–5.2] in SP) between lifestyles.
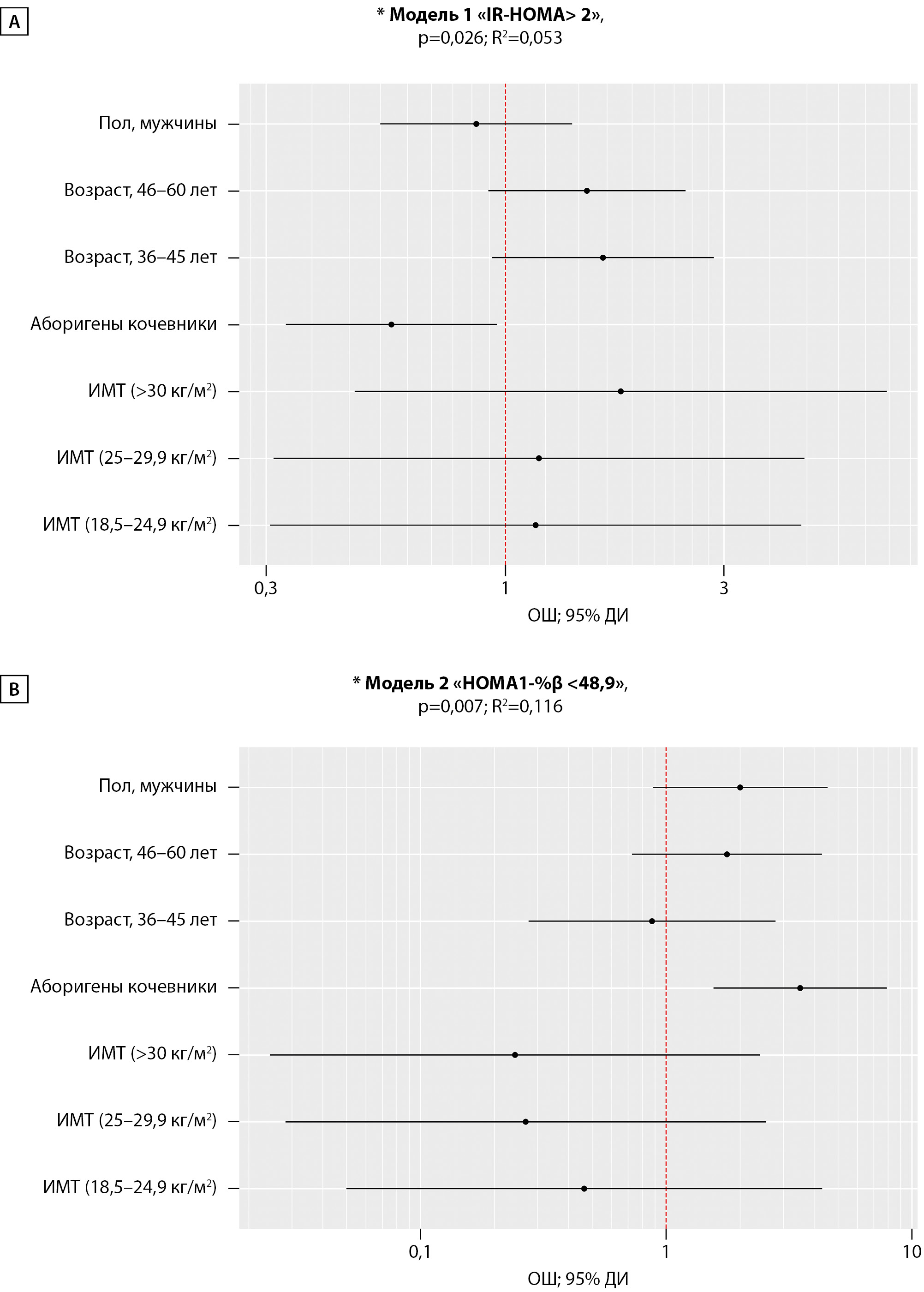
The HOMA-IR was significantly lower in NP (1.3 [0.7–2.4]) than in SP (1.8 [0.95–2.8]), p=0.013. IR-HOMA >2 units was 1.8 times more frequent in the SP than in NP, with adjusted for sex, age, and BMI OR=0.56; 95% CI: 0.33–0.96, p=0.034. The median HOMA1-%β was 128 [67–241] % in NP and 144 [93–236]% in SP with no significant differences between groups. The proportion of individuals with HOMA1-%β <48.9 was 17% in NP versus 5% in SP, p<0.001. The adjusted odds of having HOMA1-%β <48.9 in NP are 3.5 times higher than in SP; 95% CI: 1.56–7.92, p=0.002. Fifty-six cases of glycemia ≥5.6 mmol/l were identified: 13.5% in NP and 14.3% in SP. The ratio IR-HOMA >2/ HOMA1-%β <48.9/BMI was 1.8 units/45%/25.2 kg/m2 in NP and 3.0 units/88%/29.6 kg/m2 in SP.
CONCLUSION: Maintaining a nomadic lifestyle helps keep lower insulin concentrations; at the same time, glycemic levels in the groups were similar. In the NP group, there was a high proportion of individuals with low β-cell secretory activity, predominantly men; in the SP group, more individuals were insulin-resistant. Analysis of cases of glycemia ≥5.6 mmol/l confirmed, that hyperglycemia in a nomadic lifestyle was associated with β-cell hypofunction and the absence of obesity; on the contrary, in a sedentary lifestyle, it was associated with increased insulin resistance and obesity.
About the Authors
A. V. StrelkovaRussian Federation
Alexandra V. Strelkova - MD, PhD; Scopus Author ID: 57205296550.
20 Nikolsky Av., 163020 Arkhangelsk
Competing Interests:
none
F. A. Bichkaeva
Russian Federation
Fatima A. Bichkaeva - doctor of biology (PhD).
Arkhangelsk
Competing Interests:
none
O. S. Vlasova
Russian Federation
Olga S. Vlasova - Cand. Sc. (Biology).
Arkhangelsk
Competing Interests:
none
E. V. Nesterova
Russian Federation
Ekaterina V. Nesterova
Arkhangelsk
Competing Interests:
none
B. A. Shengof
Russian Federation
Boris A. Shengof
Arkhangelsk
Competing Interests:
none
T. B. Gretskaya
Russian Federation
Tatyana B. Gretskaya - Cand. Sc. (Biology).
Arkhangelsk
Competing Interests:
none
References
1. Global report on diabetes. Женева: Всемирная организация здравоохранения; 2018. Лицензия: CC BY-NC-SA 3.0 IGO
2. Dedov II, Shestakova MV, Vikulova OK, t al. Diabetes mellitus in the Russian Federation: dynamics of epidemiological indicators according to the Federal Register of Diabetes Mellitus for the period 2010–2022. Diabetes mellitus. 2023;26(2):104-123 (In Russ.). doi: https://doi.org/10.14341/DM13035
3. Dedov II, Tkachuk VA, Gusev NB, et al. Type 2 diabetes and metabolic syndrome: identification of the molecular mechanisms, key signaling pathways and transcription factors aimed to reveal new therapeutical targets. Diabetes mellitus. 2018;21(5):364-375. (In Russ.). doi: https://doi.org/10.14341/DM9730
4. Sevostyanova YeV. Some features of human lipid and carbohydrate metabolism in the North. Bulletin of Siberian Medicine. 2013;12(1):93-100. (In Russ.). doi: https://doi.org/10.20538/1682-0363-2013-1-
5. Bjerregaard P, Young TK, Hegele RA. Low incidence of cardiovascular disease among the Inuit—what is the evidence? Atherosclerosis. 2003;166(2):351-357. doi: https://doi.org/10.1016/S0021-9150(02)00364-7
6. Sbornik tezisov vsesoyuznoj konferencii "Adaptaciya cheloveka v razlichnyh klimato-geograficheskih i proizvodstvennyh usloviyah". Tom 1 (In Russ.)
7. PaninLE. Fundamental problems of the circumpolar and the arctic medicine. Siberian Scientific Medical Journal. 2013;33(6):5-10 (In Russ.)
8. Kozlov AI. Svyazannye s potrebleniem uglevodnyh produktov nutriciologicheskie i geneticheskie riski razvitiya ozhireniya u korennyh severyan. Voprosy pitania. 2019;88(1):5-16 (In Russ.). doi: https://doi.org/10.24411/0042-8833-2019-10001
9. Heinbecker P. Studies on the metabolism of Eskimos. Journal of Biological Chemistry. 1928;80: 461-475 doi: https://doi.org/10.1016/S0021-9258(18)83867-4
10. Bojko ER. Fiziko-biohimicheskie osnovy zhiznedeyatel'nosti cheloveka na Severe. Ekaterinburg: UrO RAN, 2005 (In Russ.)
11. Bichkaeva FA, Koalenko TB, Bichkaev AA, et al. Age-related changes in blood concentrations of glucose, proinsulin and insulin among residents of the russian Arctic. Ekologiya cheloveka (Human Ecology). 2021;(4):30-39 (In Russ.). doi: https://doi.org/10.33396/1728-0869-2021-4-30-39
12. Rønn PF, Andersen, GS, Lauritzen T, et al. Abdominal visceral and subcutaneous adipose tissue and associations with cardiometabolic risk in Inuit, Africans and Europeans: a cross-sectional study. BMJ open. 2020;10(9): e038071. doi: https://doi.org/10.1136/bmjopen-2020-038071
13. Tihonova NA. i dr. Analiz zabolevaemosti naseleniya Arkticheskoj zony Rossijskoj Federacii saharnym diabetom // Zdorov'e — osnova chelovecheskogo potenciala: problemy i puti ih resheniya. 2020;15(1):624-631 (In Russ.)
14. Matthews DR, Hosker JP, Rudenski AS, et al. Homeostasis model assessment: insulin resistance and beta-cell function from fasting plasma glucose and insulin concentrations in man. Diabetologia. 1985;28(7):412-419. doi: https://doi.org/10.1007/BF00280883
15. Hermans MP, Levy JC, Morris RJ, Turner RC. Comparison of tests of beta-cell function across a range of glucose tolerance from normal to diabetes. Diabetes September. 1999;48(9):1779-1786. doi: https://doi.org/10.2337/diabetes.48.9.1779
16. Wallace TM, Levy JC, Matthews DR. Use and abuse of HOMA modeling. Diabetes care. 2004;27(6):1487-1495. doi: https://doi.org/10.2337/diacare.27.6.1487
17. Kalev OF, Kaleva NG, Yashin DA. Kachestvo zdorov’ya cheloveka. Sovremennye problemy nauki i obrazovaniya. 2016;4 (In Russ.). doi: https://doi.org/10.17513/spno.25004
18. Narkevich AN, Vinogradov KA. Metody opredeleniya minimal’no neobhodimogo ob»ema vyborki v medicinskih issledovaniyah. Social’nye aspekty zdorov’ya naseleniya. 2019;6(65):10 (In Russ.).
19. Bell RR, Draper HH, Bergan JG. Sucrose, lactose, and glucose tolerance in northern Alaskan Eskimos. The American Journal of Clinical Nutrition. 1973;26(11)1185-1190. doi: https://doi.org/10.1093/ajcn/26.11.1185
20. Feldman SA, Rubenstein, AH, Ho K-J, et al. Carbohydrate and lipid metabolism in the Alaskan Arctic Eskimo. The American journal of clinical nutrition. 1975;28(6):588-594. doi: https://doi.org/10.1093/ajcn/28.6.588
21. Ebbesson SO, Risica PM, Ebbesson LO, et al. Omega-3 fatty acids improve glucose tolerance and components of the metabolic syndrome in Alaskan Eskimos: the Alaska Siberia project. International Journal of Circumpolar Health. 2005;64(4):396-408. doi: https://doi.org/10.3402/ijch.v64i4.18016
22. Boyer BB, Mohatt GV, Plaetke R, et al. Metabolic syndrome in Yup’ik Eskimos: the center for alaska native health research (CANHR) study. Obesity. 2007;15(11):2535-2540. doi: https://doi.org/10.1038/oby.2007.302
23. Kochan TI. Zakonomernosti izmeneniya pokazatelej uglevodnogo obmena v organizme cheloveka v zavisimosti ot prirodnyh faktorov Severa. Ekologiya cheloveka. 2006;(10):3-7 (In Russ.).
24. Pereverzev VA, Velkom MO, Mastorakis N, Pereverzeva EV. Normoglikemiya natoshchak (v pokoe i pri funkcional’noj aktivnosti): klassifikaciya, pokazateli. Vestnik Smolenskoj gosudarstvennoj medicinskoj akademii. 2015;14(3):74-84 (In Russ.).
25. Schraer CD, Risica PM, Ebbesson SO, et al. Low fasting insulin levels in Eskimos compared to American Indians: are Eskimos less insulin resistant? Int J Circumpolar Health. 1999;58(4):272-280
26. Dogadin SA, Nozdrachev KG, Krizhanovskaya YeV, Manchuk VT. Levels of insulin, C-peptide, and hydrocortisone in the course of glucose tolerance test in indigenous population of the Extreme North and in newcomers. Problems of Endocrinology. 1997;43(2):7-10. (In Russ.) doi: https://doi.org/10.14341/probl19974327-10
27. Ryabova TI, Popova TV, Sirotin BZ. Insulin resistance among the indigenous (evens, ulchi, nanai) and newly arrived population on the Khabarovsky krai. 2012;(4):12-14 (In Russ.).
28. Goropashnaya AV, Herron J, Sexton M, et al. Relationships between plasma adiponectin and body fat distribution, insulin sensitivity, and plasma lipoproteins in Alaskan Yup’ik Eskimos: the Center for Alaska Native Health Research study. Metabolism. 2009;58(1):22-29. doi: https://doi.org/10.1016/j.metabol.2008.09.002
29. Poteryaeva ON, Osipova LP, Russkih GS, et al. Analiz soderzhaniya insulina, kortizola i glyukozy v syvorotke krovi poselkovyh zhitelej yamalo-neneckogo avtonomnogo okruga. Fiziologiya cheloveka. 2017;43(6):103-108 (In Russ.).
30. Saltykova M.M. Osnovnye fiziologicheskie mekhanizmy adaptacii cheloveka k holodu. Rossijskij fiziologicheskij zhurnal im. I.M. Sechenova. 2017;103(2):138-151 (In Russ.).
31. Эндокринология по Вильямсу. Сахарный диабет и нарушения углеводного обмена. Кроненберг ГМ [и др.]; пер. с англ. под ред. И.И. Дедова, Г.А. Мельниченко. — Москва: Рид Элсивер. 2010:436
32. Gayoso-Diz P, Otero-González A, Rodriguez-Alvarez MX, et al. Insulin resistance (HOMA-IR) cut-off values and the metabolic syndrome in a general adult population: effect of gender and age: EPIRCE cross-sectional study. BMC Endocr Disord. 2013;13(1):1-10. doi: https://doi.org/10.1186/1472-6823-13-47
33. Orsini F, D’Ambrosio F, Scardigno A, et al. Epidemiological Impact of Metabolic Syndrome in Overweight and Obese European Children and Adolescents: A Systematic Literature Review. Nutrients. 2023;15(18):3895. doi: https://doi.org/10.3390/nu15183895
Supplementary files
|
|
1. Figure 1. Graphs demonstrating the absence (A) and presence (B) of a linear dependence of insulin on glucose in natives with different lifestyles. | |
| Subject | ||
| Type | Research Instrument | |
View
(311KB)
|
Indexing metadata ▾ | |
|
|
2. Figure 2. Estimation of the odds ratio for predictors (lifestyle, gender, age, BMI) of the indicator "IR-HOMA> 2" (A) and "HOMA1-%β <48.9" (B) in Arctic natives. | |
| Subject | ||
| Type | Research Instrument | |
View
(422KB)
|
Indexing metadata ▾ | |
|
|
3. Figure 3. Estimation of odds ratio for predictors (lifestyle, gender, age, BMI) of the indicator "IR-HOMA> 2" (A) and "HOMA1-%β <48.9" (B) among men. | |
| Subject | ||
| Type | Research Instrument | |
View
(384KB)
|
Indexing metadata ▾ | |
|
|
4. Figure 4. Estimation of odds ratio for predictors (lifestyle, gender, age, BMI) of the indicator "IR-HOMA> 2" (A) and "HOMA1-%β <48.9" (B) among women. | |
| Subject | ||
| Type | Research Instrument | |
View
(400KB)
|
Indexing metadata ▾ | |
|
|
5. Figure 5. Proportion of cases of insulin resistance and β-cell hypofunction with glycemia ≥ 5.6 mmol/l in nomadic and sedentary aborigines with BMI analysis. | |
| Subject | ||
| Type | Research Instrument | |
View
(460KB)
|
Indexing metadata ▾ | |
Review
For citations:
Strelkova A.V., Bichkaeva F.A., Vlasova O.S., Nesterova E.V., Shengof B.A., Gretskaya T.B. Insulin level, glycemia, insulin resistance and β-cell function in relation to the lifestyle of Arctic indigenous people. Are there conditions for diabetes and which type? Problems of Endocrinology. 2024;70(5):54-69. (In Russ.) https://doi.org/10.14341/probl13411
This work is licensed under a Creative Commons Attribution-NonCommercial-NoDerivatives 4.0 International License (CC BY-NC-ND 4.0).




































.jpg)

