Перейти к:
Особенности клинических проявлений и диагностики вторичной надпочечниковой недостаточности после комплексного лечения внегипофизарных опухолей
https://doi.org/10.14341/probl10246
Аннотация
Обоснование. Большинство проведенных на сегодняшний день исследований включает группы пациентов, различные по этиологии вторичной надпочечниковой недостаточности (ВНН), либо рассматривает ВНН в общей структуре отдаленных последствий лучевой терапии.
Цель: описать клинические проявления и особенности диагностики ВНН у взрослых пациентов, перенёсших комплексное лечение внегипофизарных опухолей головного мозга в детском возрасте.
Методы. Одномоментное, сплошное исследование. Включен 31 пациент после комплексного лечения внегипофизарных опухолей головного мозга в детском возрасте; группу контроля составили сопоставимые c основной по полу и возрасту 20 здоровых добровольцев. Оценивались биохимический и общеклинический анализ крови, уровни кортизола, АКТГ, ДГЭА-С. Тест с инсулиновой гипогликемией (ТИГ) проведен всем пациентам и 11-ти добровольцам.
Результаты. Распространенность ВНН по ТИГ составила 45,2%. У пациентов без ВНН по сравнению с группой ВНН и добровольцами выявлен достоверно более высокий уровень базального кортизола (БК) (505 [340;650] vs 323 [233;382] и 372 [263;489] нмоль/л; рбез_внн-внн=0,001; рбез_внн-здоров=0,04). У группы ВНН уровень ДГЭА-С оказался достоверно ниже, чем в других группах обследованных (3,1 [1,8; 3,4] vs 5,1[2,5; 6,4] и 6,8 [4,1;8,9]; рбез_внн- внн=0,036; рвнн- здоров=0,001). ROC-анализ показал, что БК и ДГЭА-С могут быть использованы как качественные скрининговые тесты для оценки ВНН (AUC=89,3% и 88,3 %). На фоне ТИГ максимальный уровень кортизола (656 [608-686] vs 634 [548-677]; р=1) и время его повышения (45 и 60 мин) не отличались у пациентов без ВНН и добровольцев. Нежелательные явления: отсроченная гипогликемия отмечена у 4/14 пациентов группы ВНН через 40–90 мин после купирования гипогликемии в тесте введением 60–80 мл 40% раствора глюкозы.
Заключение. После краниоспинального облучения по поводу внегипофизарных опухолей ВНН развивалась в 45,2% случаев и проявлялась снижением уровня ДГЭА-С. У 52,9% пациентов без ВНН отмечался высоконормальный уровень базального кортизола. Базальные уровни ДГЭА-С и кортизола могут быть использованы при динамическом наблюдении за пациентами для своевременного исключения ВНН.
Ключевые слова
Для цитирования:
Юдина А.Е., Павлова М.Г., Сотников В.М., Юдина А.Е., Сыч Ю.П., Мазеркина Н.А., Желудкова О.Г., Теряева Н.Б., Герасимов А.Н., Мартынова Е.Ю., Ким Е.И., Берковская М.А. Особенности клинических проявлений и диагностики вторичной надпочечниковой недостаточности после комплексного лечения внегипофизарных опухолей. Проблемы Эндокринологии. 2019;65(5):330-340. https://doi.org/10.14341/probl10246
For citation:
Yudina A.E., Pavlova M.G., Sotnikov V.M., Yudina A.E., Sych Yu.P., Mazerkina N.A., Zheludkova O.G., Teryaeva N.B., Gerasimov A.N., Martynova E., Kim E.I., Berkovskaya M.A. Clinical features and diagnosis of secondary adrenal insufficiency followed complex treatment nonpituitary brain tumors. Problems of Endocrinology. 2019;65(5):330-340. https://doi.org/10.14341/probl10246
Обоснование
На протяжении последних 20 лет распространенность всех форм гипокортицизма возросла с 6,4 до 20 случаев на 1 млн. населения, в том числе за счет увеличения числа пациентов со вторичной надпочечниковой недостаточностью (ВНН) [1]. Ведущие причины развития АКТГ-дефицита – лечение аденом гипофиза (33%), краниофарингиомы (28%), а также облучение головного мозга по поводу внегипофизарных опухолей (20%) [2]. Последняя группа пациентов представляет особый интерес, поскольку при суммарной очаговой дозе на ложе опухоли свыше 40 Гр вторичный гипокортицизм развивается в 20–60% случаев, несмотря отсутствие прямого лучевого воздействия на гипоталамо-гипофизарную область [3, 4] Большинство проведенных на сегодняшний день исследований включает различные по этиологии ВНН группы пациентов [2, 5], либо рассматривает вторичный гипокортицизм в общей структуре отдаленных последствий лучевой терапии [6, 7]. Наиболее часто исследователи обращаются к пациентам детского возраста [8–10]. Работ по изучению распространенности и особенностей клинических проявлений ВНН у взрослых после краниального (КО) или краниоспинального (КСО) облучения, перенесенного в детском возрасте по поводу злокачественных новообразований головного мозга, крайне мало.
Цель
Описать клинические проявления и особенности диагностики ВНН у взрослых пациентов, перенесших комплексное лечение внегипофизарных опухолей головного мозга в детском возрасте.
Методы
Дизайн исследования
Наблюдательное, одноцентровое, одномоментное, выборочное, контролируемое, неослепленное, нерандомизированное исследование. Схема исследования представлена на рис. 1.
Рис. 1. Схема исследования.
Критерии соответствия
Критерии включения: возраст старше 16 лет; комплексное лечение по поводу внегипофизарных опухолей головного мозга в детском возрасте, включая краниоспинальное облучение в дозе 30–35 Гр с бустом на ложе опухоли до 50–55 Гр; длительность ремиссии не менее 2 лет; подписанное информированное добровольное согласие пациентом или его законным представителем.
Критерии исключения: повторная лучевая терапия на область головного мозга по поводу рецидивов, прямое облучение гипоталамо-гипофизарной области, беременность, лактация.
Группу контроля составили здоровые добровольцы, сопоставимые по полу и возрасту с основной группой и подписавшие информированное добровольное согласие.
Условия проведения
В исследование включались пациенты, находящиеся на динамическом наблюдении у врачей-онкологов в федеральных клинических центрах (ФГБУ «РНЦРР», ФГАУ «НМИЦ нейрохирургии им. Н.Н. Бурденко», ФГБУ «НМИЦ ДГОИ им. Дмитрия Рогачева»), направленные или вызванные активно на консультацию к эндокринологу в Первый МГМУ им. И.М. Сеченова. Обследование пациентов проводилось в условиях стационара на базе кафедры и клиники эндокринологии Университетской клинической больницы №2 ФГАОУ ВО «Первый МГМУ им. И.М. Сеченова».
Продолжительность исследования
Исследование продолжалось с 2011 по 2016 г.
Описание медицинского вмешательства
У пациентов и добровольцев оценивались данные анамнеза, жалобы, показатели роста, веса, ИМТ, АД, проводился забор крови для проведения клинического анализа крови, биохимического анализа (натрий, калий, АЛТ, АСТ, креатинин, глюкоза), оценки уровня ДГЭА-С, кортизола и АКТГ (базальных и на фоне теста с инсулиновой гипогликемией).
Тест с инсулиновой гипогликемией (ТИГ) начинался в 9.00–9.30. После ночного голодания в течение 8–14 ч пациентам устанавливался внутривенный катетер, проводился забор крови для определения глюкозы, АКТГ, кортизола, показателей биохимического и клинического анализов крови (0 мин). После 15 мин отдыха в катетер вводился инсулин короткого действия (Хумулин Регуляр, «Эли Лилли») из расчета 0,15–0,2 ЕД на 1 кг массы тела. Заборы крови для определения кортизола и АКТГ проводились на 15, 30, 45, 60, 90, 120-й минутах. Контроль глюкозы осуществлялся по глюкометру («Ime DC», Германия) каждые 15 мин до достижения уровня 3 ммоль/л, далее каждые 3–5 мин. После снижения уровня глюкозы (по глюкометру) менее 2,2 ммоль/л проводился забор крови для лабораторного определения и подтверждения гипогликемии. Гипогликемия купировалась внутривенным введением 60–80 мл 40% раствора глюкозы.
Основной исход исследования
Конечной точкой исследования была частота случаев вторичной надпочечниковой недостаточности у пациентов после краниоспинального облучения (КСО) по поводу внегипофизарных опухолей головного мозга.
Дополнительные исходы исследования
Получение информации о клиническо-лабораторных проявлениях ВНН и определение оптимальных методов скринига ВНН у пациентов после перенесенного КСО.
Анализ в подгруппах
Результаты обследования сравнивались между двумя подгруппами (с и без ВНН), на которые были разделены пациенты группы КСО после проведения ТИГ, и группой добровольцев.
Методы регистрации исходов
АКТГ, кортизол, ДГЭА-С определялись твердофазным иммунометрическим методом с хемилюминесцентной детекцией на приборах Immulite 2000i (АКТГ) и Centaur XP (кортизол, ДГЭА-С) («Siemens», общий анализ крови – на гематологическом анализаторе выборочного действия Advia-2120 («Siemens»).
Этическая экспертиза
Исследование было одобрено на заседании Межвузовского комитета по этике от 17.11.11 протокол №10-11.
Статистический анализ
Размер выборки предварительно не рассчитывался. Статистический анализ проводился с помощью пакета программ IBM SPSS Statisticа 18 (Чикаго, США). Описание данных проводилось с помощью медианы, интерквартильного интервала и размаха, в виде Ме [25;75] (min-max); для доз краниоспинального облучения приведены средние значения и среднеквадратичное отклонение, поскольку распределение было компактным и близким к нормальному (представлены в виде М±s). Различия средних в двух независимых группах определялись с помощью критерия Манна−Уитни, при количестве групп более двух – критерия Краскела−Уоллиса, проблема множественных сравнений решалась применением критерия Данна. Достоверность в зависимых выборках рассчитывалась с помощью критерия Вилксона. Достоверность различия долей – по критерию χ2. Анализ зависимостей проводился при помощи критерия Спирмена. Различия считались достоверными при р<0,05. Для оценки возможности применения кортизола и ДГЭА-С в скрининге ВНН проводился ROC-анализ с определением площади под кривой (AUC). Качество диагностического теста считалось отличным при AUC от 90 до 100%, высоким – от 80 до 90%, хорошим – 70–80%, средним – 60–70%, низким – 50–60% [11].
Результаты
Объекты (участники) исследования
В основную группу вошли 18 мужчин и 13 женщин (31 пациент) в возрасте от 16 до 24 лет (медиана возраста 20 лет [18;23]), которые перенесли тотальное или субтотальное удаление внегипофизарных опухолей головного мозга и краниоспинальное облучение (КСО) в дозе 34,5±4,5 Гр на область головного и спинного мозга с бустом до 54,2±0,8 Гр на ложе опухоли (табл. 1). Медиана возраста на момент лечения составила 12 лет [9;15], продолжительность ремиссии – 7 лет [5;11]. 29 пациентов получали химиотерапию, 2 пациентам она не назначалась. В группу контроля вошли 20 здоровых добровольцев, сопоставимых по полу и возрасту с основной группой, 11 из них был проведен тест с инсулиновой гипогликемией.
Таблица 1. Характер и локализация внегипофизарных опухолей у пациентов основной группы
Тип опухоли |
Число пациентов |
Медуллобластома задней черепной ямки |
28 |
Эпендимома задней черепной ямки |
2 |
Примитивная нейроэктодермальная опухоль теменной области |
1 |
Основные результаты исследования
Согласно клиническим рекомендациям Европейского общества эндокринологов, точка разделения (cut-off) для исключения ВНН по уровню максимального кортизола варьирует от 500 до 550 нмоль/л и зависит от конкретного метода, использующегося лабораторией для его определения [12]. Учитывая, что у 3 здоровых добровольцев уровни максимального кортизола на фоне ТИГ составили 546, 547 и 549 нмоль/л, уровень 540 нмоль/л был принят как точка разделения для исключения ВНН у пациентов основной группы.
Таким образом, ВНН, по данным ТИГ, была выявлена у 14 из 31 пациентов (45,2% (ДИ: 30,2% – 60,9%). Наличие ВНН не зависело от пола (r=–0,017; p=0,928), возраста (r=–0,117; p=0,592), возраста на момент лечения (r=–0,018; p=0,922), схемы ПХТ (r=–0,124; p=0,506), наличия, отсутствия, количества курсов ПХТ (r=–0,046; p=0,807) длительности ремиссии (r=–0,055; p=0,771). Также группы не отличались по частоте других, наиболее распространенных эндокринных последствий КСО: дефицита гормона роста (р=0,714), гипогонадизма (р=0,525), гипотиреоза (р=0,624), остеопороза (р=0,812), узлового коллоидного зоба (р=0,199). Структура и распространенность эндокринопатий у пациентов основной группы представлены на рис. 2 и 3.
Рис. 2. Структура и распространенность отдаленных эндокринных последствий после перенесенного комплексного лечения внегипофизарных опухолей.
По оси Y – процент выявленной патологии, над столбцами указаны абсолютные значения.
Рис. 3. Структура отдаленных эндокринных последствий в группах с и без ВНН.
По оси Y указан процент распространенности патологии в группах, над столбцами – абсолютное число пациентов с данной патологией.
Дополнительные результаты исследования
Жалобы. Пациенты с и без ВНН не различались по характеру предъявляемых жалоб (р от 0,138 до 1,0) (рис. 4). Ведущими жалобами были слабость, утомляемость, а женщины часто отмечали нарушение менструального цикла. Добровольцы из группы контроля жалоб не предъявляли.
Рис. 4. Жалобы, предъявляемые пациентами после лечения внегипофизарных опухолей, в зависимости от наличия или отсутствия ВНН.
Данные общего осмотра и параметров общеклинического и биохимического анализов крови. Пациенты с и без ВНН не отличались между собой по росту, весу и уровню артериального давления, показателям общеклинического и биохимического анализов крови, однако у них были выявлены более низкие антропометрические показатели по сравнению со здоровыми добровольцами вне зависимости от наличия или отсутствия гипокортицизма (табл. 2).
Таблица 2. Результаты общего осмотра пациентов после краниоспинального облучения
Показатель |
С ВНН |
Без ВНН |
Здоровые |
р |
рВНН-без ВНН |
рВНН-здоровые |
рбез ВНН-здоровые |
Рост |
162 [153; 169] |
161 [152; 172] |
172 [163;175] |
0,015 |
1,0 |
0,036 |
0,045 |
Вес |
52 [43,5; 61,15] |
49 [43,1; 60,75] |
65 [57; 73] |
0,001 |
1,0 |
0,012 |
0,002 |
ИМТ |
19,7 [17,8; 23,2] |
19,4 [16,8;23] |
22,7 [21;24,4] |
0,018 |
1,0 |
0,024 |
0,041 |
САД |
102 [97,5; 112] |
100 [90; 110] |
112,5 [108,7; 122,5] |
0,443 |
– |
– |
– |
ДАД |
70 [60;80] |
60 [60;70] |
70 [67,5; 82,5] |
0,193 |
– |
– |
– |
Примечание: р – достоверность различий, рассчитанная по критерию Краскела-Уоллиса, рВНН-без ВНН – попарные сравнений, критерий Данна.
Уровень базального кортизола, АКТГ и ДГЭА-С. У пациентов без ВНН отмечались достоверно более высокие уровни базального кортизола по сравнению не только с группой ВНН, но и со здоровыми добровольцами. У 9/17 (52,9%) пациентов без ВНН уровень базального кортизола превышал 500 нмоль/л, в то время как у добровольцев подобная тенденция выявлена только в 7/23 (30,4%) случаев (χ 2=4,72; р=0,033). Уровни ДГЭА-С не отличались у пациентов без ВНН и добровольцев и были выше по сравнению с группой ВНН. Уровень базального АКТГ в группах не отличался (табл. 3).
Таблица 3. Уровень базального кортизола, АКТГ и ДГЭА-С в группах исследования
Показатель |
ВНН |
Без ВНН |
Здоровые |
р |
рВНН-без ВНН |
рВНН-здоровые |
рбез ВНН-здоровые |
Кортизол, нмоль/л |
323 [233; 382] (207–494) |
505 [340; 650] (248–835) |
372 [263; 489] (144–766) |
0,002 |
0,001 |
0,46 |
0,040 |
ДГЭА-С, мкмоль/л |
3,1 [1,8; 3,4] (0,8–5,37) |
5,1 [2,5; 6,4] (1,47–8,8) |
6,8 [4,1; 8,9] (2,09–20,8) |
<0,001 |
0,036 |
<0,001 |
0,242 |
АКТГ, пг/мл |
15,9 [10,3; 25,8] (7,96–74,7) |
18,8 [12,9; 35,5] (6,39–170) |
11,5 [8,9; 25,0] (5,14–90,2) |
0,224 |
– |
– |
– |
Примечание: р – достоверность различий, рассчитанная по критерию Крускала-Уоллиса, рВНН-без ВНН – попарные сравнений, критерий Данна. В скобках указаны минимальное и максимальное значение в группе.
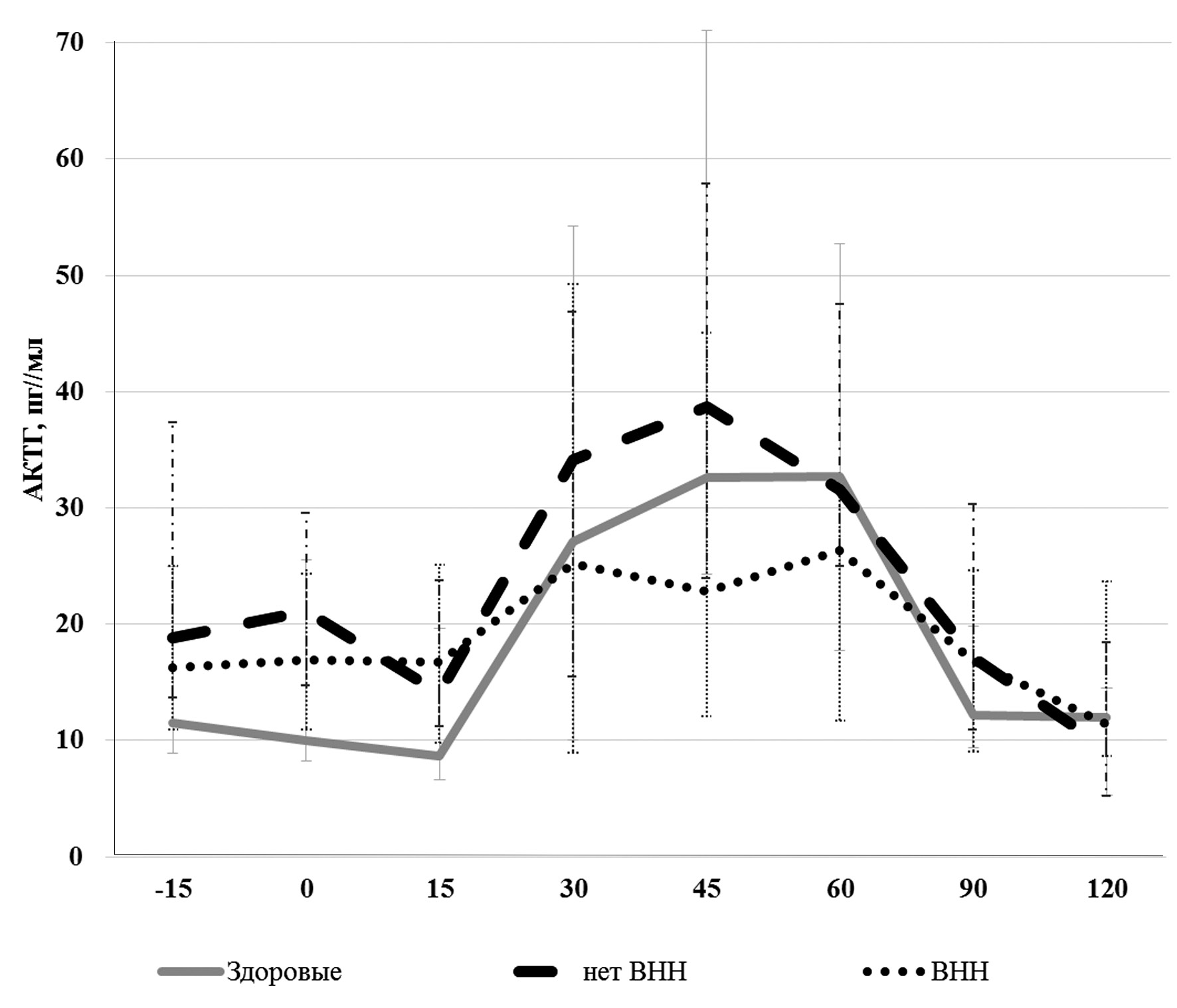
Результаты теста с инсулиновой гипогликемией. У пациентов без ВНН, как и у добровольцев, снижение глюкозы до 2,2 ммоль/л развивалось к 30-й минуте, а пик кортизола приходится на 45 и 60 минуты теста (через 15 и 30 мин после наступления гипогликемии) (рис. 5 и 6). Уровни максимального кортизола и АКТГ на фоне ТИГ не отличались у пациентов без ВНН и здоровых добровольцев (табл. 4). В то же время уровень АКТГ, превышающий 150 пг/мл, рекомендованный как точка разделения для исключения ВНН [13], был зафиксирован только у 1 из 17 пациентов без ВНН и 2 из 11 здоровых добровольцев. У пациентов с ВНН максимальный уровень кортизола и АКТГ был значимо ниже, чем в группе без ВНН и у здоровых (см. табл. 4). Следует отметить, что у 1 добровольца максимальный уровень кортизола на фоне ТИГ составил всего 444 нмоль/л.
Таблица 4. Максимальные уровни кортизола и АКТГ на фоне теста с инсулиновой гипогликемией
Показатель |
ВНН (1) |
Без ВНН (2) |
Здоровые (3) |
р |
рВНН-без ВНН |
рВНН-здоровые |
рбез ВНН-здоровые |
Максимальный кортизол, нмоль/л |
369 [323; 479] |
656 [608; 686] |
634 [548; 677] |
<0,001 |
<0,001* |
0,001* |
1,0 |
Максимальный АКТГ, пг/мл |
22,5 [12,3; 63,8] |
48,8 [38,9; 74,5] |
44,8 [27,9; 118,2] |
0,018 |
0,031 |
0,049 |
1,0 |
Примечание: р – достоверность различий, рассчитанная по критерию Крускала-Уоллиса, рВНН-без ВНН – попарные сравнений, критерий Данна.
Рис. 5. Медиана и интерквартильный интервал уровней кортизола на фоне ТИГ по группам.
Рис. 6. Медиана и интерквартильный интервал для АКТГ по временным точкам на фоне ТИГ.
Точки разделения уровней базальных гормонов для исключения ВНН. Диагностическая информативность теста оценивалась при помощи вычисления площади (AUC) под характеристической кривой (ROC-кривой). В нашем исследовании, по данным ROC-анализа, AUC для уровня базального кортизола при обследовании на ВНН составила 89,3% (р=0,005), а для ДГЭА-С – 88,3% (р=0,007). В тоже время ценность как базального, так и максимального АКТГ на фоне ТИГ в диагностике гипокортицизма оказалась весьма незначительной (AUC=67,9%, р=0,205 для каждого из показателей). Точки разделения для подтверждения и исключения ВНН, соответствующие 100% чувствительности и специфичности, представлены в табл. 5.
Таблица 5. Точки разделения (cut-off) для пациентов после комплексного лечения опухолей головного мозга, со 100% уровнем чувствительности и специфичности
Показатель |
100% Se (ВНН выявлена у всех пациентов с меньшими показателями) |
100% Sp (ВНН исключена у всех пациентов с большими показателями) |
Кортизол, нмоль/л |
250 |
500 |
ДГЭА-С, мкмоль/л |
2,0 |
5,4 |
Нежелательные явления
У 4 пациентов из группы ВНН через 40–90 мин после купирования гипогликемии введением 60–80 мл 40% раствора глюкозы отмечались отсроченные гипогликемии, потребовавшие повторного введения раствора глюкозы.
Обсуждение
Резюме основного результата исследования
По результатам проведенного исследования распространенность вторичной надпочечниковой недостаточности (ВНН) после комплексного лечения внегипофизарных опухолей головного мозга, выявленной по данным теста с инсулиновой гипогликемией (ТИГ), составила 45,2% (ДИ: 30,2 – 60,9%). У пациентов с ВНН отмечалось снижение ДГЭА-С, а у лиц без ВНН – статистически значимо более высокие уровни базального кортизола по сравнению со здоровыми добровольцами и пациентами с ВНН.
Обсуждение основного результата исследования
В зарубежных исследованиях распространенность вторичной надпочечниковой недостаточности, развивающейся вследствие лечения внегипофизарных опухолей головного мозга, варьирует и зависит от метода диагностики. Если оценивать только уровень базального кортизола, она составляет всего 4% [6], при применении стимуляционного теста с 1–24 АКТГ частота ВНН возрастает до 20% [14]. Наибольшая выявляемость, как и следовало ожидать, отмечается при использовании ТИГ. A. Aga и соавт. [7], обследовавшие пациентов после лечения внегипофизарных опухолей во взрослом возрасте, диагностировали ВНН (по данным ТИГ) у 28% (7 из 25) пациентов. Схожие результаты, но уже у детей, получили S. Rose и соавт. [4]: 20 (29%) из 63. В нашем исследовании распространенность ВНН оказалась несколько выше, что, вероятно, связано с различиями в дизайне работы и характеристике самих обследованных. Мы наблюдали молодых взрослых, прошедших лечение в детском и подростковом возрасте. В связи с этим период ремиссии у большинства наших пациентов был достаточно длительным и составил от 5 до 20 лет. Как известно, выраженность отдаленных последствий лучевой терапии возрастает пропорционально увеличению времени после ее проведения [12, 14] и напрямую зависит от дозы облучения [6]. При дозе краниального облучения более 30 Гр с бустом на ЗЧЯ до 50 Гр на гипоталамо-гипофизарную область приходится суммарно около 40 Гр, при том что прицельно облучение зоны гипофиза и гипоталамуса не проводится. Подобная доза неизбежно приводит к выпадению одной или нескольких тропных функций гипофиза в течение 10 лет после ЛТ [6]. Нам удалось найти только одну работу датских коллег (M. Schmiegelow и соавт. [14]) со сходным дизайном, где были включены взрослые пациенты, получавшие краниоспинальное или краниальное облучение в возрасте до 15 лет по поводу внегипофизарных опухолей головного мозга и завершившие лечение не менее 1 года назад. В этой работе частота встречаемости ВНН составила 48,5% (16/33).
Жалобы больных с надпочечниковой недостаточностью, как правило, малоспецифичны и включают слабость, утомляемость, снижение работоспособности, артериального давления, веса [12, 15]. Проведенное комплексное лечение внегипофизарных опухолей нередко оказывает воздействие практически на все органы эндокринной системы, вызывая их гипофункцию, что приводит к многочисленным, но в то же время сходным проявлениям. Наши пациенты предъявляли самые разнообразные жалобы, которые не отличались вне зависимости от наличия или отсутствия ВНН. Поэтому у подобных больных наличие жалоб, равно как и их отсутствие, не сможет помочь специалистам в отборе кандидатов для проведения стимуляционных проб для исключения ВНН. [16].
При синдроме гипокортицизма в общеклиническом анализе крови может отмечаться анемия, умеренная лейкопения, относительный лимфоцитоз, эозинофилия, в биохимическом – гипонатриемия и склонность к гипогликемии [13, 17], однако в нашем исследовании выявить данные закономерности не удалось, что может быть связано как с небольшим объемом наблюдений, так и с особенностями ВНН, развивающейся после КСО.
Самым информативным методом скрининга ВНН оказалось исследование уровня базального кортизола и ДГЭА-С. ДГЭА-С в группе ВНН был снижен по сравнению с пациентами без ВНН и добровольцами, что также продемонстрировано и в ряде зарубежных исследований, как у пациентов после лучевого лечения внегипофизарных опухолей [18], так и в когортах больных с ВНН вследствие удаления аденомы гипофиза или длительного приема глюкокортикоидов [19, 20]. Проведенный ROC-анализ показал, что ДГЭА-С может использоваться при динамическом наблюдении пациентов после КСО для исключения ВНН. Следует помнить, что наибольшей диагностической информативностью ДГЭА-С обладают молодые пациенты (до 30 лет), которые и составили нашу выборку, поскольку пик секреции ДГЭА-С приходится на возраст 25–30 лет, после чего его продукция постепенно снижается [21, 22].
Определение базальной концентрации кортизола рекомендовано Европейским обществом эндокринологов в качестве скринингового метода диагностики ВНН. Если она не превышает 83 нмоль/л (3 мкг/дл), диагноз может быть поставлен без проведения стимуляционных проб [12]. Некоторые авторы используют более высокий порог в 100–140 нмоль/л (4–5 мкг/дл) [3, 6]. В нашем исследовании этот уровень оказался практически в 2 раза выше: значение базальной концентрации кортизола 250 нмоль/л соответствовало 100% чувствительности, по данным проведенного ROC-анализа. С одной стороны, это можно объяснить тем фактом, что вышеуказанные точки разделения определялись на смешанных по этиологическому фактору развития ВНН когортах пациентов, включавших в первую очередь лиц с патологией гипоталамо-гипофизарной системы (аденомы гипофиза, краниофарингиомы и т.п.), либо длительно получавших высокие дозы глюкокортикоидов. В то же время небольшой объем наблюдений и одномоментный характер нашего исследования не позволяют сделать окончательное заключение о возможности использовать уровень базального кортизола в 250 нмоль/л в качестве точки разделения (cut-off) для постановки диагноза ВНН у лиц после КСО по поводу внегипофизарных опухолей головного мозга. Полученные данные кажутся нам интересными. В настоящее время исследование продолжается. Увеличение числа обследованных пациентов, вероятно, позволит сформулировать дополнительные рекомендации по диагностике ВНН именно для этой категории больных. В настоящее время очевидно, что лицам после комплексного лечения внегипофизарных опухолей головного мозга в детском и молодом возрасте, имеющим базальную концентрацию кортизола менее 250 нмоль/л, показано проведение ТИГ для исключения ВНН в первую очередь.
В нашем исследовании базальная концентрация кортизола у пациентов без ВНН была достоверно более высокой по сравнению со здоровыми добровольцами, а у 53% пациентов превышал 500 нмоль/л (верхняя четверть референсного диапазона для лаборатории, в которой проводилось гормональное исследование). Схожие результаты продемонстрированы в работе J. Heikens и соавт. [8], где у 11 из 20 (55%) пациентов с медуллобластомой базальная концентрация кортизола была более 500 нмоль/л. K. Darzy и S. Shalet [23], обследуя пациентов без ВНН после краниального облучения, проведенного по поводу острого лимфобластного лейкоза или внегипофизарных опухолей, выявили повышение не только базального, но и среднесуточного уровня кортизола (определялся как среднее значение по ежечасным заборам в течение суток) по сравнению со здоровыми добровольцами. Причина данного явления в настоящий момент неизвестна. В то же время в исследованиях, проведенных на экспериментальных животных, показано возрастание уровней кортизола и АКТГ как в ранний, так и отдаленный периоды после облучения головного мозга [24–26]. Не следует забывать и о роли хронического стресса в период диагностики и лечения онкологического заболевания, который, возможно, приводит к гиперстимуляции гипоталамо-гипофизарно-надпочечниковой оси.
При проведении теста с гипогликемией снижение уровня глюкозы у пациентов после КСО наступало к 30-й минуте, а пик кортизола приходился на 45-ю и 60-ю минуты (т.е. через 15 и 30 мин после наступления гипогликемии). А.Ю. Бабенко и соавт. [27] также отмечают, что у пациентов с аденомами гипофиза или перенесших аденомэктомию максимальный уровень кортизола на пике гипогликемии выявляется только в 3,3% случаев, а чаще всего происходит отсроченно – к 30-й или 60-й минуте. Поэтому прекращение теста сразу после наступления гипогликемии ошибочно и может привести к гипердиагностике ВНН.
Максимальная концентрация АКТГ на фоне ТИГ у пациентов с ВНН была значимо выше, чем у пациентов без ВНН (р=0,03). Несмотря на то что в ряде отечественных руководств именно АКТГ на фоне ТИГ обсуждается как самый чувствительный маркер ВНН [13], с нашей точки зрения, исследование данного показателя нецелесообразно, поскольку не дает дополнительной информации для диагностики и определения тактики ведения ВНН, однако увеличивает стоимость обследования. Большинство существующих в настоящий момент рекомендаций по диагностике ВНН ориентируется только на уровень максимального кортизола [3, 25].
Ограничения исследования
Статистическая мощность исследования невелика: размер выборки был небольшим и предварительно не рассчитывался, в связи с этим истинная распространенность ВНН у пациентов после КСО может отличаться, однако находится в пределах доверительного интервала 30,2–60,9%.
Пациенты, включенные в нашу работу, перенесли комплексное лечение внегипофизарных опухолей головного мозга и получали краниоспинальное облучение в дозе 30–35 Гр с бустом на ложе опухоли до 55 Гр, поэтому у лиц после лучевой терапии в других дозах распространенность и клинические особенности ВНН могут отличатся.
Группа была представлена молодыми взрослыми. Поскольку секреция ДГЭА-С снижается с возрастом [24], для пациентов более старшей возрастной группы точки разделения ДГЭА-С для скрининга ВНН могут быть иными и требуют уточнения.
Исследование было одномоментным, включало пациентов с разной длительностью ремиссии, что не позволило нам точно выявить время манифестации ВНН после окончания терапии опухолей головного мозга.
Заключение
После перенесенного краниоспинального облучения по поводу внегипофизарных опухолей вторичная надпочечниковая недостаточность встречается в 45,2% случаев. При этом она не имеет явных клинически проявлений, однако сопровождается снижением уровня ДГЭА-С. У 52,9% пациентов без ВНН отмечался высоконормальный уровень базального кортизола. Точки разделения для концентрации кортизола и ДГЭА-С, которые можно использовать в диагностике ВНН, могут быть несколько выше, чем традиционно указывается в клинических рекомендациях. Все это необходимо учитывать при динамическом наблюдении за пациентами, получавшими лечение внегипофизарных опухолей головного мозга, и определении круга больных, которым стимуляционные тесты необходимо проводить в первую очередь.
Дополнительная информация
Источник финансирования. Исследование выполнено при поддержке гранта № 8801 Министерства образования и науки РФ «Медико-социальная реабилитация мужчин и женщин, перенесших комбинированное лечение онкологических заболеваний в детстве», а также благотворительного фонда «Подари жизнь».
Конфликт интересов. Авторы декларируют отсутствие явных и потенциальных конфликтов интересов, связанных с публикацией настоящей статьи.
Участие авторов: А.Е. Юдина – концепция и дизайн исследования, сбор и обработка материала, статистическая обработка данных, анализ полученных результатов, написание текста; М.Г. Павлова – концепция и дизайн исследования, редактирование текста; В.М. Сотников – концепция и дизайн исследования, редактирование текста; Т.Ю. Целовальникова – сбор и обработка материала; Ю.П. Сыч – обследование пациентов, статистическая обработка данных, подбор литературы, написание резюме на английском языке; Н.А. Мазеркина – концепция и дизайн исследования, редактирование текста; О.Г. Желудкова – концепция и дизайн исследования, редактирование текста; А.Н. Герасимов – статистическая обработка данных, редактирование текста; Н.Б. Теряева – концепция и дизайн исследования, обработка материала, редактирование текста; Е.Ю. Мартынова – сбор и обработка материала, редактирование текста; Е.И. Ким – сбор и обработка материала; М.А. Берковская – обследование пациентов, статистическая обработка данных, подбор литературы, написание резюме на английском языке. Все авторы внесли значимый вклад в проведение исследования и подготовку статьи, прочли и одобрили финальную версию до публикации.
Благодарности. Авторы выражают благодарность Н.К. Рыльковой за редактирование текста аннотации на английском языке.
Список литературы
1. Chen Y, Lin Y, Chen S, et al. Epidemiology of adrenal insufficiency: a nationwide study of hospitalizations in Taiwan from 1996 to 2008. J Chin Med Assoc. 2013;76(3):140-145. doi: https://doi.org/10.1016/j.jcma.2012.11.001.
2. Castinetti F, Sahnoun M, Albarel F, et al. An observational study on adrenal insufficiency in a French tertiary centre: real life versus theory. Ann Endocrinol (Paris) 2015;76(1):1-8. doi: https://doi.org/10.1016/j.ando.2014.11.004.
3. Fernandez A, Brada M, Zabuliene L, et al. Radiation-induced hypopituitarism. Endocr Relat Cancer. 2009;16(3):733-772. doi: https://doi.org/10.1677/erc-08-0231
4. Rose S, Danish R, Kearney N, et al. ACTH deficiency in childhood cancer survivors. Pediatr Blood Cancer. 2005;45(6):808-813. doi: https://doi.org/10.1002/pbc.20327
5. Hahner S, Loeffler M, Bleicken B, et al. Epidemiology of adrenal crisis in chronic adrenal insufficiency: the need for new prevention strategies. Eur J Endocrinol. 2009;162(3):597-602. doi: https://doi.org/10.1530/EJE-09-0884
6. Chemaitilly W, Li Z, Huang S, et al. Anterior hypopituitarism in adult survivors of childhood cancers treated with cranial radiotherapy: a report from the St Jude Lifetime Cohort study. J Clin Oncol. 2015;33(5):492-500. doi: https://doi.org/10.1200/jco.2014.56.7933
7. Agha A, Sherlock M, Brennan S, et al. Hypothalamic-pituitary dysfunction after irradiation of nonpituitary brain tumors in adults. J Clin Endocrinol Metab. 2005;90(12):6355-6360. doi: https://doi.org/10.1210/jc.2005-1525
8. Heikens J, Michiels E, Behrendt H, et al. Long-term neuro-endocrine sequelae after treatment for childhood medulloblastoma. Eur J Cancer. 1998;34(10):1592-1597. doi: https://doi.org/10.1016/s0959-8049(98)00212-3
9. Spoudeas H, Charmandari E, Brook C. Hypothalamo-pituitary-adrenal axis integrity after cranial irradiation for childhood posterior fossa tumours. Med Pediatr Oncol. 2003;40(4):224-229. doi: https://doi.org/10.1002/mpo.10267
10. Oberfield S, Nirenberg A, Allen J, et al. Hypothalamic-pituitary-adrenal function following cranial irradiation. Horm Res. 1997;47(1): 9-16. doi: https://doi.org/10.1159/000185357
11. Rumyantsev PO, Saenko VA, Rumyantseva UV. Statistical methods for the analyses in clinical practice. Part 1. Univariate statistical analysis. Problemy endokrinologii. 2009;55(5):48-55. doi: 10.14341/probl200955548-55
12. Fleseriu M, Hashim I, Karavitaki N, et al. Hormonal replacement in hypopituitarism in adults: an endocrine society clinical practice guideline. J Clin Endocrinol Metab. 2016;101(11):3888-3921. doi: https://doi.org/10.1210/jc.2016-2118
13. Endokrinologiya. Natsional’noye rukovodstvo. Ed by Dedov II, Mel’nichenko GA. Seriya “Natsional’nyye rukovodstva”. Moscow: GEOTAR-Media; 2016. 752 p.
14. Schmiegelow M, Feldt-Rasmussen U, Rasmussen AK, et al. Assessment of the hypothalamo-pituitary-adrenal axis in patients treated with radiotherapy and chemotherapy for childhood brain tumor. J Clin Endocrinol Metab. 2003;88(7):3149-3154. doi: https://doi.org/10.1210/jc.2002-021994
15. Charmandari E, Nicolaides N, Chrousos GP. Adrenal insufficiency. Lancet. 2014;383(9935):2152-2167. doi: https://doi.org/10.1016/s0140-6736(13)61684-0
16. Hahner S, Loeffler M, Fassnacht M, et al. Impaired subjective health status in 256 patients with adrenal insufficiency on standard therapy based on cross-sectional analysis. J Clin Endocrinol Metab. 2007;92(10):3912-3922. doi: https://doi.org/10.1210/jc.2007-0685
17. Arlt W, Allolio B Adrenal insufficiency. Lancet. 2003;361(9372): 1881-1893. doi: https://doi.org/10.1016/S0140-6736(03)13492-7
18. Oberfield S, Nirenberg A, Allen J, et al. Hypothalamic-pituitary-adrenal function following cranial irradiation. Horm Res. 1997;47(1): 9-16. doi: https://doi.org/10.1159/000185357
19. Nasrallah M, Arafah B. The value of dehydroepiandrosterone sulfate measurements in the assessment of adrenal function. J Clin Endocrinol Metab 2003;88(11):5293-5298. doi: https://doi.org/10.1210/jc.2003-030449
20. Dorsey M, Cohen L, Phipatanakul W, et al. Assessment of adrenal suppression in children with asthma treated with inhaled corticosteroids: use of dehydroepiandrosterone sulfate as a screening test. Ann Allergy Asthma Immunol. 2006;97(2):182-186. doi: https://doi.org/10.1016/s1081-1206(10)60010-5
21. Goncharov NP, Katsiya GV. Dehydroepiandrosterone biosynthesis, metabolism, biological effects, and clinical use (analytical review). Andrology and genital surgery journal. 2015;16(1):13-22. doi: 10.17650/2070-9781-2015-1-13-22
22. Fischli S, Jenni S, Allemann S, et al. Dehydroepiandrosterone sulfate in the assessment of the hypothalamic-pituitary-adrenal axis. J Clin Endocrinol Metab. 2008;93(2):539-542. doi: https://doi.org/10.1210/jc.2007-1780
23. Darzy K, Shalet S. Absence of adrenocorticotropin (ACTH) neurosecretory dysfunction but increased cortisol concentrations and production rates in ACTH-replete adult cancer survivors after cranial irradiation for nonpituitary brain tumors. J Clin Endocrinol Metab. 2005;90(9):5217-5225. doi: https://doi.org/10.1210/jc.2005-0830
24. Velickovic N, Djordjevic A, Drakulic D, et al. Cranial irradiation modulates hypothalamic-pituitary-adrenal axis activity and corticosteroid receptor expression in the hippocampus of juvenile rat. Gen Physiol Biophys. 2009;28 Spec No: 219-227.
25. Weidenfeld J, Siegal T, Ovadia H. Delayed effects of brain irradiation. Part 1: adrenocortical axis dysfunction and hippocampal damage in an adult rat model. Neuroimmunomodulation. 2013;20(1):57−64. doi: https://doi.org/10.1159/000342522
26. Kutlicova IV, Lysenko NP, Nosovskiy AM. Some aspects in study on influence of x-ray effects on hormonal system of biological objects. Veterinariya, zootekhniya i biotekhnologiya. 2017;4:53-57.
27. Babenko AY, Dalmatova AB. The rational use of stimulation tests in hypopituitarism diagnostics. Byulleten’ federal’nogo tsentra serdtsa, krovi i endokrinologii im. V.A. Almazova. 2013;3:5-13.
Об авторах
Алла Евгеньевна ЮдинаРоссия
Аспирант, врач-эндокринолог, кафедра эндокринологии
Мария Геннадиевна Павлова
Россия
К.м.н., врач-эндокринолог, кафедра эндокринологии
Владимир Михайлович Сотников
Россия
доктор медицинских наук, профессор, ведущий научный сотрудник, заведующий отделением лучевых и комбинированных методов лечения
Алла Евгеньевна Юдина
Россия
Аспирант, врач-эндокринолог, кафедра эндокринологии
Юлия Петровна Сыч
Россия
к.м.н.
Надежда Александровна Мазеркина
Россия
Д.м.н., врач-эндокринолог
Ольга Григорьевна Желудкова
Россия
Д.м.н., врач-онколог
Надежда Борисовна Теряева
Россия
к.м.н. ст.науч.сотрудник
Андрей Николаевич Герасимов
Россия
Д.ф-м.н., заведующий кафедрой медицинской информатики и статистики
Евгения Юрьевана Мартынова
Россия
врач-эндокринолог
Екатерина Игоревна Ким
Россия
студентка лечебного факультета
Марина Ароновна Берковская
Россия
Дополнительные файлы
|
1. Рис. 1. Схема исследования. | |
Тема | ||
Тип | Прочее | |
Посмотреть
(154KB)
|
Метаданные ▾ |
|
2. Рис. 2. Структура и распространенность отдаленных эндокринных последствий после перенесенного комплексного лечения внегипофизарных опухолей. | |
Тема | ||
Тип | Прочее | |
Посмотреть
(44KB)
|
Метаданные ▾ |
|
3. Рис. 3. Структура отдаленных эндокринных последствий в группах с и без ВНН. | |
Тема | ||
Тип | Прочее | |
Посмотреть
(20KB)
|
Метаданные ▾ |
|
4. Рис. 4. Жалобы, предъявляемые пациентами после лечения внегипофизарных опухолей, в зависимости от наличия или отсутствия ВНН. | |
Тема | ||
Тип | Прочее | |
Посмотреть
(103KB)
|
Метаданные ▾ |
|
5. Рис. 5. Медиана и интерквартильный интервал уровней кортизола на фоне ТИГ по группам. | |
Тема | ||
Тип | Прочее | |
Посмотреть
(85KB)
|
Метаданные ▾ |
|
6. Рис. 6. Медиана и интерквартильный интервал для АКТГ по временным точкам на фоне ТИГ. | |
Тема | ||
Тип | Прочее | |
Посмотреть
(113KB)
|
Метаданные ▾ |
Рецензия
Для цитирования:
Юдина А.Е., Павлова М.Г., Сотников В.М., Юдина А.Е., Сыч Ю.П., Мазеркина Н.А., Желудкова О.Г., Теряева Н.Б., Герасимов А.Н., Мартынова Е.Ю., Ким Е.И., Берковская М.А. Особенности клинических проявлений и диагностики вторичной надпочечниковой недостаточности после комплексного лечения внегипофизарных опухолей. Проблемы Эндокринологии. 2019;65(5):330-340. https://doi.org/10.14341/probl10246
For citation:
Yudina A.E., Pavlova M.G., Sotnikov V.M., Yudina A.E., Sych Yu.P., Mazerkina N.A., Zheludkova O.G., Teryaeva N.B., Gerasimov A.N., Martynova E., Kim E.I., Berkovskaya M.A. Clinical features and diagnosis of secondary adrenal insufficiency followed complex treatment nonpituitary brain tumors. Problems of Endocrinology. 2019;65(5):330-340. https://doi.org/10.14341/probl10246

Контент доступен под лицензией Creative Commons Attribution-NonCommercial-NoDerivatives 4.0 International License (CC BY-NC-ND 4.0).