Перейти к:
Гипогликемии у новорожденных: обзор литературы и описание клинического случая
https://doi.org/10.14341/probl8336
Аннотация
Гипогликемии в периоде новорожденности являются одной из актуальных проблем детской эндокринологии. Основные факторы, приводящие к нарушению гомеостаза углеводов, в целом известны, однако вопросы неонатальных гипогликемий продолжают активно изучаться. В последние годы исследуется влияние низкого уровня глюкозы крови на нейроны головного мозга, дискутируются вопросы мониторинга гликемии в первые дни жизни, обсуждается тактика ведения новорожденных с гипогликемическим синдромом.
Ключевые слова
Для цитирования:
Таранушенко Т.Е., Киселева Н.Г., Лазарева О.В., Калюжная И.И. Гипогликемии у новорожденных: обзор литературы и описание клинического случая. Проблемы Эндокринологии. 2019;65(4):251-262. https://doi.org/10.14341/probl8336
For citation:
Taranushenko T.E., Kiseleva N.G., Lazareva O.V., Kalygnaja I.I. Hypoglycemia in neonates: a review of the literature and a case report. Problems of Endocrinology. 2019;65(4):251-262. https://doi.org/10.14341/probl8336
Введение
Глюкоза является основным источником энергии для центральной нервной системы (ЦНС) уже с периода внутриутробного развития. Примерно 90% глюкозы, циркулирующей в крови плода, участвует в окислительных биохимических реакциях в ткани мозга. Депонирование углеводов в ЦНС отсутствует, в связи с чем важным условием нормального церебрального энергетического метаболизма является регулярный транспорт глюкозы в нервную ткань. Ферментативные системы глюконеогенеза и гликогенолиза в эмбриональном периоде неактивны, поэтому энергетическая потребность плода обеспечивается глюкозой, поступающей от матери трансплацентарно по градиенту концентрации со скоростью 4–6 мг/кг/мин (7 г/кг/сут). Гликемия плода составляет 60–80% от концентрации глюкозы в крови беременной женщины [1–3].
После рождения нормогликемия обеспечивается энтеральным потреблением углеводов (лактоза грудного молока) и собственной эндогенной продукцией глюкозы (печеночный глюконеогенез, гликогенолиз). Следует отметить, что даже у здоровых доношенных новорожденных биохимические пути синтеза глюкозы активизируются в течение первых 2–3 дней жизни и продолжают формироваться на протяжении последующих нескольких недель (физиологическая незрелость гомеостаза углеводов). По данным литературы, половина здоровых новорожденных в первые 8–12 ч после рождения не способны удерживать голодовой нормальный уровень глюкозы в плазме [4]. Использование же альтернативных источников энергии (кетоновые тела, аминокислоты, лактат, глицерин, короткоцепочечные жирные кислоты и др.) в неонатальном периоде ограничено в связи с незрелостью ферментативных систем. Кроме того, существует ряд перинатальных факторов, приводящих к пролонгированию гипогликемии. К ним относятся перинатальная асфиксия, сахарный диабет у беременной, недоношенность, задержка внутриутробного развития (ЗВУР), прием некоторых медикаментов и др. В ряде случаев персистирование гипогликемии может быть обусловлено врожденными нарушениями обмена веществ, ферментопатиями или дисфункцией эндокринных желез, так как метаболизм глюкозы осуществляется с участием различных ферментов и регулируется гормонами (инсулин, глюкагон, кортизол, адреналин и др.). Указанные обстоятельства обусловливают высокую частоту встречаемости гипогликемий у новорожденных (1–5 случаев на 1000 живорожденных, не относящихся к группам риска) [4].
Влияние низкого уровня глюкозы на развитие нервной системы детей активно дискутируется. Многочисленные исследования показывают, что гипогликемии в неонатальном периоде приводят к различным неврологическим нарушениям в постнатальной жизни (судорожный синдром, задержка психомоторного развития, сниженные показатели IQ, нарушение когнитивных функций и др.) [3, 5–8]. Это связано с повреждающим действием низкого уровня глюкозы на нейроны головного мозга.
Дефицит глюкозы в ЦНС увеличивает продукцию лактата, способствует развитию тканевого ацидоза, снижению уровня креатинфосфата и АТФ в клетках мозга. Вследствие этого возникают деполяризация мембраны нейрона и тканевые электролитные нарушения – поступление калия в экстрацеллюлярное пространство и внутриклеточное повышение уровня натрия, хлорида и кальция. Указанные изменения приводят к аккумуляции жидкости в нейронах, высвобождению свободных радикалов, активации простагландинов, тромбоксанов и лейкотриенов, развиваются отек нейронов, атрофия глиальных клеток и демиелинизация белого вещества. Спазм сосудов, обусловленный повышенным содержанием внутриклеточного кальция, усугубляет гипоксию ткани мозга, что в конечном итоге приводит к необратимому повреждению мембран клеток и селективной гибели нейронов [1, 3, 5–9].
По мнению ряда авторов, поражение ЦНС при гипогликемии и развитие нейронального некроза обусловлено нарастанием содержания нейромодулятора глутамата с последующей активацией и увеличением количества функциональных NMDA-рецепторов. Сопутствующие изменения в цикле трикарбоновых кислот приводят к нарушению окислительных процессов, нарастанию свободных радикалов, повреждению митохондриальных мембран и ДНК, снижению активности NADH-дегидрогеназы и количества АТФ. Кроме того, гипогликемия повышает чувствительность NMDA-рецепторов к действию глутамата, что в сочетании с нарушением митохондриального метаболизма приводит к активации клеточных фосфолипаз и протеаз и нарушению синаптической передачи. Конечным результатом указанных процессов являются изменение трансмембранных ионных потоков, нарушение процесса ветвления дендритов, активация апоптоза, гибель нейронов и последующее развитие метаболической (гипогликемической) энцефалопатии. Важно, что для развития незрелого мозга решающее значение имеет нормальный уровень активности рецепторов NMDA, поэтому содержание глутамата коррелирует с выраженностью метаболических изменений в ЦНС в зависимости от гестационного возраста [2, 3].
Наиболее неблагоприятные последствия наблюдаются при одновременном воздействии гипогликемии и церебральной гипоксии. Механизмы развития патологических изменений в ЦНС при указанных состояниях практически идентичны, а при сочетании их отмечается синергическое взаимодействие. Анаэробный гликолиз, возникающий при гипоксии, усугубляет дефицит глюкозы в тканях мозга и ускоряет снижение содержания АТФ. Гипогликемия нарушает защитный эффект вазодилатации мозговых кровеносных сосудов, появляющийся при гипоксии в условиях нормального гомеостаза глюкозы. Кроме того, увеличение объемной скорости мозгового кровотока (защитный механизм при гипогликемии) в сочетании с гипоксией может приводить к риску кровоизлияния [3, 5–7, 9].
Согласно данным литературы, при неонатальных гипогликемиях в первую очередь повреждаются нейроны коры, стриарной системы и гиппокампа. В последующем у таких детей нарушаются когнитивные и сенсорные функции, формируются задержка моторного развития и поведенческие дефекты [1, 3, 5–9]. У 35–50% новорожденных с клиническими гипогликемиями и 20% младенцев с асимптомными гипогликемиями в последующем имеются различные неврологические проблемы [3].
По данным S. Chandran и соавт. [1], у новорожденных через 7 дней после гипогликемии при МРТ головного мозга визуализируются гиперинтенсивные сигналы в теменно-затылочной области. Эти изменения сочетаются с повышенным содержанием лактата и свободных жирных кислот в крови и с большой долей вероятности свидетельствуют о влиянии низкого уровня глюкозы на ЦНС.
В литературе представлены результаты изучения катамнеза доношенных детей без гипоксии при рождении, у которых имела место неонатальная гипогликемия. Полученные данные указывают на высокую частоту (до 90–94%) структурных изменений головного мозга (по данным МРТ) у этих пациентов в возрасте 1,5 года (кортикальные поражения, поражения базальных ганглиев и/или таламуса, признаки кровоизлияния в белое вещество, инфаркты в бассейне средней мозговой артерии) [1–3, 5]. У недоношенных детей на втором году жизни обнаружена корреляция между длительностью гипогликемии в неонатальном периоде и последующей патологией ЦНС. Так, младенцы с персистирующей гипогликемией (свыше 5 дней) в последующем имели задержку психомоторного развития, а также более высокую частоту детского церебрального паралича, чем недоношенные с кратковременным аналогичным снижением уровня глюкозы крови или однократным эпизодом тяжелой гипогликемии.
Важно подчеркнуть, что в большинстве случаев неонатальные гипогликемии протекают бессимптомно, даже при существенном снижении уровня глюкозы крови. Вместе с тем несколько когортных исследований, выполненных в разных странах, установили высокую частоту дефицита внимания и малой мозговой дисфункции у детей, имеющих в анамнезе бессимптомные гипогликемии [1, 3, 5]. Ряд авторов указывают на причастность тяжелой неонатальной гипогликемии к развитию судорожного синдрома в раннем детском возрасте [1–3, 5].
Все это определяет актуальность проблемы неонатальных гипогликемий. Цель настоящей публикации – представить обобщенные данные по тактике ведения новорожденных детей с низким содержанием глюкозы крови.
Гипогликемия новорожденного – это снижение концентрации глюкозы в крови <2,6 ммоль/л в периоде новорожденности независимо от срока гестации [3, 5–7, 10]. Классификация гипогликемий новорожденных по МКБ-10 представлена в табл. 1.
Таблица 1. Гипогликемия новорожденных в МКБ-10
|
МКБ-10: Преходящие эндокринные нарушения и нарушения обмена веществ, специфичные для плода и новорожденного (P70–P74) |
|
P70 Преходящие нарушения углеводного обмена, специфичные для плода и новорожденного |
|
P70.0 Синдром новорожденного от матери с гестационным диабетом |
|
P70.1 Синдром новорожденного от матери, страдающей диабетом |
|
P70.3 Ятрогенная неонатальная гипогликемия |
|
P70.4 Другие неонатальные гипогликемии |
|
P70.8 Другие преходящие нарушения углеводного обмена у плода и новорожденного |
|
P70.9 Преходящее нарушение углеводного обмена у плода и новорожденного неуточненное |
Клинические варианты гипогликемии у новорожденных
- Бессимптомная гипогликемия (низкий уровень глюкозы в крови не проявляется клинической симптоматикой, возможны неблагоприятные отсроченные последствия).
- Симптоматическая гипогликемия (низкий уровень глюкозы в крови сочетается с клиническими проявлениями).
NB! Наиболее часто у новорожденных детей отмечаются бессимптомные гипогликемии.
Особенность клиники гипогликемии у новорожденных – неспецифичность симптомов (аналогичные проявления могут быть при других заболеваниях).
Дифференциально-диагностические признаки гипогликемии у новорожденного (триада Уиппла) [3, 5–7]:
– появление клинических симптомов при лабораторно низком уровне глюкозы крови;
– исчезновение этих симптомов при нормализации уровня гликемии;
– возобновление клинических симптомов при снижении уровня глюкозы крови.
Наиболее частые клинические симптомы при гипогликемии у новорожденного [3, 5, 6]:
– глазная симптоматика (круговые, плавающие движения глазных яблок, нистагм, снижение тонуса глазных мышц, исчезновение окулоцефального рефлекса);
– слабый высокочастотный пронзительный неэмоциональный крик;
– исчезновение коммуникабельности;
– слабость, вялость, «бедность» движений;
– вялое сосание, срыгивания, анорексия;
– тремор, подергивания;
– повышенная возбудимость, раздражительность;
– повышенный рефлекс Моро.
Менее частые симптомы при гипогликемии у новорожденного:
– судороги;
– апноэ;
– периоральный, общий цианоз или акроцианоз;
– нестабильность температуры тела (склонность к гипотермии);
– тахикардия, тахипноэ, артериальная гипотензия;
– бледность кожи, повышенное потоотделение;
– кома.
NB! Гипогликемия (даже бессимптомная) в периоде новорожденности без лечения может привести к необратимому повреждению головного мозга.
В зависимости от этиологии и патогенеза неонатальные гипогликемии могут быть транзиторными (преходящими) и персистирующими (стойкими).
Транзиторные (преходящие) гипогликемии
Причины транзиторных гипогликемий
- Транзиторный гиперинсулинизм:
– новорожденные от матерей с сахарным диабетом;
– гипоксия плода и асфиксия новорожденного;
– гемолитическая болезнь новорожденного (ГБН);
– инфузии глюкозы беременной.
- Транзиторный дефицит глюкозы:
– ЗВУР;
– недоношенность;
– близнецы (меньший из двойни);
– респираторный дистресс-синдром новорожденного (РДСН);
– плацентарные нарушения и преждевременная отслойка плаценты (частичная или полная);
– гестоз беременных;
– преэклампсия;
– голод во время родов.
- Ятрогенные (медикаментозные):
– Прием лекарственных препаратов беременной женщиной:
– β-блокаторы, ингибиторы АПФ (пропранолол, метопролол, каптоприл, эналаприл и т.д.);
– оральные сахароснижающие препараты;
– салицилаты;
– вальпроевая кислота;
– наркотики.
– Прием лекарственных препаратов новорожденным:
– индометацин;
– гепарин;
– фторхинолон.
- Другие причины (патогенез окончательно не ясен):
– генерализованные инфекции;
– сердечная недостаточность;
– полицитемия;
– фетальный эритробластоз;
– гипотермия.
Группы риска по развитию транзиторных гипогликемий
- Недоношенные дети (≤37 нед).
- ЗВУР (масса при рождении <10-го перцентиля).
- Новорожденные от матери с сахарным диабетом (в том числе гестационным).
- Новорожденные с перинатальной асфиксией.
- Новорожденные с ГБН.
- Большой для гестационного возраста (или LGA – Large for gestational age) (масса при рождении >90-го перцентиля).
- Гестационный возраст >42 нед.
- Дети, рожденные от матерей, получавших сахароснижающие препараты, блокаторы β-адренорецепторов, инфузии глюкозы во время родов.
- Новорожденные с полицитемией, сепсисом, шоком, дыхательной недостаточностью (ДН), врожденными пороками сердца (ВПС), гипотермией (в активной фазе болезни).
- Младенцы на парентеральном питании.
- Младенцы с возможными клиническими симптомами гипогликемии (AIIMS-NICU-протокол, 2007; Clinical Guidelines index, 2015) [3, 5–7, 10–12].
Группы высокого риска по развитию транзиторной гипогликемии (ВОЗ)
- Дети от матерей с сахарным диабетом.
- Недоношенные.
- Новорожденные с ЗВУР.
- Новорожденные, перенесшие интранатальную гипоксию.
Контроль гликемии в группах риска
Для мониторинга гликемии должны использоваться лабораторные биохимические исследования уровня глюкозы крови.
NB! Все новорожденные из групп риска подлежат скринингу уровня глюкозы крови сразу после рождения.
NB! Наибольшая вероятность гипогликемии у новорожденных из групп риска существует в первые 24 ч после рождения, но может сохраняться в течение 48–72 ч (табл. 2).
Таблица 2. Частота и продолжительность контроля гликемии у новорожденных из групп риска
|
Фактор риска |
Возраст/период ожидаемого развития гипогликемии |
|
Сахарный диабет у матери (любого типа, в том числе гестационный диабет) |
6–48 ч после рождения |
|
ЗВУР |
6–48 ч после рождения |
|
Асфиксия, ГБН тяжелая |
первые 6–12 ч жизни |
|
Недоношенность, близнецы (чаще меньший из двойни) |
12–48 ч после рождения |
|
Инфузии глюкозы во время родов |
первые 24–48 ч жизни |
|
Полицитемия, сепсис, шок, ДН, ВПС, гипотермия |
в активной фазе болезни |
|
Прием во время беременности сахароснижающих препаратов, β-адреноблокаторов |
не уточнен |
Контроль гликемии у новорожденных от матерей с сахарным диабетом
Контроль гликемии у новорожденных от матерей с сахарным диабетом отличается от мониторинга глюкозы крови в других группах риска [11].
– В 1-е сутки жизни исследование проводят через 30–60 мин после рождения, затем через 2–3 ч после рождения и перед кормлениями.
– В течение последующих 3 сут жизни (2–4-е сутки) концентрацию глюкозы определяют перед кормлением каждые 3–4 ч, далее с 5-х суток жизни – 1 раз в день (перед кормлением).
– Можно прекратить мониторинг глюкозы крови, если гликемия превышает 2,6 ммоль/л в течение 24 ч на фоне энтерального питания и новорожденному не требуется внутривенная инфузия растворов глюкозы [14].
NB! Дополнительный контроль гликемии необходим при появлении любого симптома, указывающего на гипогликемию.
Контроль гликемии у новорожденных из других групп риска
– Первое определение гликемии должно быть проведено не позднее 1 ч после рождения (ВОЗ, 2015).
– Далее каждые 3 ч в течение первых двух суток; в последующие трое суток – каждые 6 ч; начиная с 5-x суток жизни – 2 раза в день [3, 5, 6].
– При энтеральном питании и отсутствии симптомов гипогликемии (клинических и лабораторных) в течение 12 ч первых суток жизни контроль за концентрацией глюкозы крови можно проводить каждые 4 ч; последующий контроль со 2-х суток продолжается до документирования нормальных значений концентрации глюкозы крови (>2,6 ммоль/л) не менее чем в трех последовательных анализах, забранных до кормления [12–18].
– При зарегистрированном низком значении концентрации глюкозы крови (<2,6 ммоль/л) мониторинг гликемии продолжается. После последнего низкого значения концентрации глюкозы крови и последующей нормогликемии контроль необходимо продолжать перед каждым кормлением на протяжении не менее 12 ч. Можно прекратить мониторинг глюкозы крови, если гликемия превышает 2,6 ммоль/л в течение 24 ч на фоне энтерального питания и новорожденному не требуется внутривенная инфузия растворов глюкозы [12–18].
– Новорожденные с полицитемией, сепсисом, шоком, ДН, ВПС, ГБН, гипотермией мониторируются в течение всего периода активной фазы болезни.
NB! Забор крови для контроля гликемии при мониторинге проводится перед кормлением новорожденного.
Профилактика гипогликемии у новорожденных из групп риска
Рекомендации ВОЗ [18]
- Контакт с матерью «кожа к коже» сразу после рождения, теплозащита.
- Раннее грудное вскармливание (с 1 ч жизни); кормления каждые 2–2,5 ч без ночного перерыва (в первые 3 дня); при отсутствии сосательного рефлекса – кормление через назогастральный зонд.
- Раствор 5% глюкозы 3–5 мл/кг перорально через 1 ч после рождения, затем по показаниям.
Персистирующие (стойкие) гипогликемии
Причины персистирующих гипогликемий
- Врожденный гиперинсулинизм:
– мутации генов SUR1, KIR6.2, глюкокиназы, глутаматдегидрогеназы;
– нарушения метаболизма жирных кислот;
– CDG-синдромы (врожденные нарушения гликозилирования);
– инсулинома.
- Дефицит контринсулярных гормонов:
– кортизола;
– тропных гормонов гипофиза (АКТГ, ТТГ, СТГ);
– глюкагона;
– адреналина.
- Нарушения высвобождения/накопления гликогена в печени:
– дефицит глюкозо-6-фосфатазы;
– дефицит амило-1,6-глюкозидазы;
– дефицит фосфорилазы печени;
– дефицит печеночной гликогенсинтазы.
- Нарушение глюконеогенеза:
– дефицит фруктозо-1,6-бисфосфатазы;
– дефицит фосфоенолпируваткарбоксикиназы;
– дефицит пируваткарбоксилазы.
- Нарушения окисления жирных кислот и метаболизма карнитина:
– дефицит карнитина;
– дефицит ферментов (карнитинпальмитоилтрансферазы, ацил-КоА-дегидрогеназы, 3-гидрокси-ацил-КоА-дегидрогеназы).
- Нарушения синтеза/утилизации кетоновых тел:
– дефицит ГМГ КоА-синтазы;
– дефицит ГМГ-КоА-лиазы;
– дефицит 3-оксикислоты-КоА-трансферазы.
- Метаболические расстройства:
– галактоземия;
– фруктоземия, тирозинемия;
– болезнь кленового сиропа;
– органические ацидемии;
– наследственная непереносимость фруктозы;
– глутаровая ацидурия 2-го типа;
– дефицит комплекса дыхательной цепи митохондрий.
NB! Новорожденным с персистирующими (стойкими) гипогликемиями показаны консультация эндокринолога и обследование.
Диагностика этиологии персистирующих гипогликемий у новорожденного
- Оценка клинических особенностей (макроглоссия, макросомия, желтуха, гепатомегалия и др.) и результатов неонатального скрининга на наследственные заболевания.
- Мониторинг глюкозы крови каждые 1–2 ч портативным глюкометром и/или системой непрерывного мониторирования глюкозы (НМГ).
- Биохимический анализ крови на кетоновые тела, свободные жирные кислоты, аммоний, лактат, аминокислоты, ацилкарнитины и др.
- Проведение тандемной масс-спектрометрии для выявления нарушения метаболизма аминокислот, органических кислот и дефектов митохондриального β-окисления жирных кислот.
- Оценка концентрации гормонов крови (инсулина, С-пептида, соматотропина, кортизола) на фоне гипогликемии.
- УЗИ печени, поджелудочной железы, надпочечников.
- При подтвержденном гиперинсулинизме – проведение КТ/МРТ брюшной полости, позитронной эмиссионной томографии (ПЭТ).
- Выполнение молекулярно-генетических исследований (гены KCNJ11, АВСС8 и др.).
Лечение гипогликемии
- Лечебная тактика при уровне гликемии 2,2–2,6 ммоль/л (в отсутствие клинических симптомов):
– Провести кормление в объеме физиологической потребности (грудное, из бутылочки, через зонд) и ввести раствор глюкозы 5–10% перорально (или интрагастрально).
– Повторить контроль гликемии через 1 ч и перед следующим кормлением (через 2–3 ч).
– При сохраняющейся гликемии <2,6 ммоль/л – начать внутривенную капельную инфузию 10% раствора глюкозы со скоростью 4–5 мл/кг/ч (6–8 мг/кг/мин). Скорость введения раствора глюкозы корригируют по значениям концентрации глюкозы крови (первый контроль гликемии – через 30 минут после начала инфузии, затем каждые 1–2 ч), оптимальный целевой показатель гликемии – 4 ммоль/л (табл. 3). Максимальный объем инфузионного раствора – 80 мл/кг/сут.
– При введении глюкозы со скоростью 2,5 мл/кг/ч (4 мг/кг/мин) и сохранении нормогликемии в течение 24 ч титрование раствора завершают постепенно. Резкое прекращение инфузии может вызвать гипогликемию, поэтому дозу вводимой глюкозы уменьшают на 2 мг/кг/мин каждые 6 ч [3, 5–7, 11, 13–15, 17, 19].
NB! Нельзя вводить новорожденному в периферическую вену растворы глюкозы с концентрацией >12,5%.
NB! Нельзя прерывать энтеральное кормление во время инфузии.
- Лечебная тактика при уровне гликемии 2,2–2,6 ммоль/л (при наличии клинических симптомов):
При концентрации глюкозы крови 2,2–2,6 ммоль/л в сочетании с симптомами гипогликемии немедленно начинается инфузия 10% раствора глюкозы (ВОЗ).
Таблица 3. Потребности в глюкозе у различных групп новорожденных (адаптировано из [5])
|
Группа |
Скорость инфузии глюкозы, мг/кг·мин |
|
Доношенные |
3–5 |
|
Недоношенные |
4–6 |
|
«Незрелые» к сроку гестации |
6–8 |
NB! Парентеральное введение растворов глюкозы начинают при гликемии менее 2,6 ммоль/л при условии получения физиологического объема энтеральной нагрузки соответственно возрасту.
III. Лечебная тактика при уровне гликемии <2,2 ммоль/л:
– При отсутствии судорог: ввести внутривенный болюс 10% раствора глюкозы 2 мл/кг, затем – 10% раствор глюкозы внутривенно капельно 5 мл/кг/ч.
– При наличии судорог: ввести внутривенный болюс 10% раствора глюкозы 4 мл/кг, затем – 10% раствор глюкозы внутривенно капельно 5 мл/кг/ч.
– На фоне терапии проводится мониторинг глюкозы крови: первый контроль – через 30 мин после начала инфузии, затем каждые 1–2 ч до документирования гликемии >2,2 ммоль/л несколькими измерениями (не менее 2–3 измерений), в последующем каждые 4–6 ч на фоне постепенной отмены терапии, если симптомы гипогликемии не повторялись в течение 24–48 ч [7, 13–17].
NB! После последнего низкого уровня глюкозы крови и последующей нормогликемии контроль должен продолжаться перед каждым кормлением не менее 12 ч [14].
- Мероприятия при отсутствии эффекта внутривенной инфузии глюкозы:
– Повышение внуривенной дотации глюкозы на 2 мг/кг/мин (т.е. на 1,2 мл/кг/ч 10% раствора глюкозы), максимум до 12 мг/кг/мин.
– Глюкагон 0,1–0,5 мг/кг массы тела внутримышечно 2 раза в сутки.
– При отсутствии эффекта от адекватной внутривенной инфузии глюкозы в течение 24–48 ч возможно введение глюкокортикостероидов (гидрокортизон по 5–10 мг/кг/сут или преднизолон по 2–3 мг/кг/сут), с продолжительностью терапии не более 2 сут [3, 5, 6, 7, 19].
– При доказанном гиперинсулинизме в лечение добавляют:
– октреотид – 1 мкг/кг массы тела каждые 6 ч подкожно или внутривенно с последующим титрованием и подбором индивидуальной дозы (максимально до 10 мкг/кг массы тела), ИЛИ
– диазоксид – перорально 3–4 раза в сутки, суточная доза 5–20 мг/кг (при ЗВУР 3–5 мг/кг/сут) [3, 5–7, 19].
Новорожденным с персистирующими (стойкими) гипогликемиями, а также при высокой потребности в парентеральном введении растворов глюкозы (10 мл/кг·ч или 15 мг/кг·мин) показаны консультация эндокринолога и обследование.
NB! Новорожденный ребенок с персистирующими гипогликемиями не может быть выписан домой без обследования и верификации диагноза, а также без достижения нормогликемических показателей, сохраняющихся в течение 72 ч.
Собственное клиническое наблюдение
Больной Я. поступил в отделение патологии новорожденных и недоношенных детей КГБУЗ «Красноярский краевой клинический центр охраны материнства и детства» в возрасте 23 сут с диагнозом «неонатальный сахарный диабет, ЗВУР III степени по диспластическому типу».
Ребенок родился в кровном браке от молодых родителей – ненков (коренная народность Севера России), от 3-й беременности (1-я беременность – девочка 11 лет с массой при рождении 2750 г, здорова; 2-я беременность – девочка с массой при рождении 1600 г, умерла в возрасте 3 мес от неустановленной причины). Настоящая беременность протекала на фоне хронической фетоплацентарной недостаточности, с угрозой преждевременных родов в 35–36 нед, поздним гестозом с 37-й недели. На учете в женской консультации не состояла, УЗИ и биохимический скрининг не проводился, подробное течение беременности неизвестно. Роды при сроке гестации 38–39 нед естественным путем, родился мальчик с оценкой по шкале Апгар 7–8 баллов, с массой 1570 г, длиной – 42 см, окружностью головы и груди – 33 см и 25 см соответственно (со слов родителей, фенотипическая схожесть с умершей сестрой).
В роддоме с первых дней жизни отмечались низкая прибавка в весе, вялая реакция на осмотр, низкая двигательная активность, негромкий слабый крик, субфебрильная температура тела (37–37,5 °С). Убыль массы тела составила на 5-е сутки 5,7%. При обследовании в роддоме впервые выявлена гипергликемия (более 12 ммоль/л), что послужило поводом к переводу пациента для дальнейшего обследования в Центральную районную больницу (ЦРБ). В детском отделении ЦРБ по месту жительства в анализах крови до 3-недельного возраста регистрировались повышение гликемии с максимальными значениями до 22,2 ммоль/л (в разное время суток) и глюкозурия, при этом признаков кетоацидоза (лабораторных и клинических) не отмечено. Учитывая эпизоды гипергликемии, пациенту вводили человеческий рекомбинантный инсулин короткого действия (Хумулин Р) по 0,1–0,3 ЕД при гликемии выше 11 ммоль/л. На фоне лечения лабораторный контроль выявил тенденцию к нормализации гликемии и снижение потребности в инсулине. После 20 сут жизни обнаружено снижение гликемии в утренние часы (в 6:00) до 2,4 ммоль/л в отсутствие терапии инсулином.
Для уточнения диагноза пациент был направлен в КГБУЗ «Красноярский краевой клинический центр охраны материнства и детства». При поступлении в отделение патологии новорожденных: выраженная гипотрофия (отсутствие подкожно-жирового слоя, масса – 1990 г, прибавка за 23 сут +480,0 г), снижение физиологических рефлексов, мышечная гипотония, множественные стигмы дисэмбриогенеза (длинные черные жесткие волосы в области волосистой части головы, большие диспластичные низкорасположенные ушные раковины, разрез глаз ближе к монголоидному, узкие глазные щели, седловидный нос, большой рот, высокое небо, низкое расположение пупка, брахидактилия, неправильный рост ногтей на пальцах верхних конечностей), изменения кожи (снижение тургора, диффузное мелкопластинчатое шелушение, гирсутизм), увеличенный в объеме живот за счет гипотонии передней брюшной стенки (рис. 1). Печень, селезенка не увеличены. При аускультации сердца определялся дующий систолический шум по правому краю грудины на фоне ритмичных приглушенных тонов сердца, ЧСС 128 в минуту.
Рис. 1. Внешний вид пациента с неонатальным сахарным диабетом.
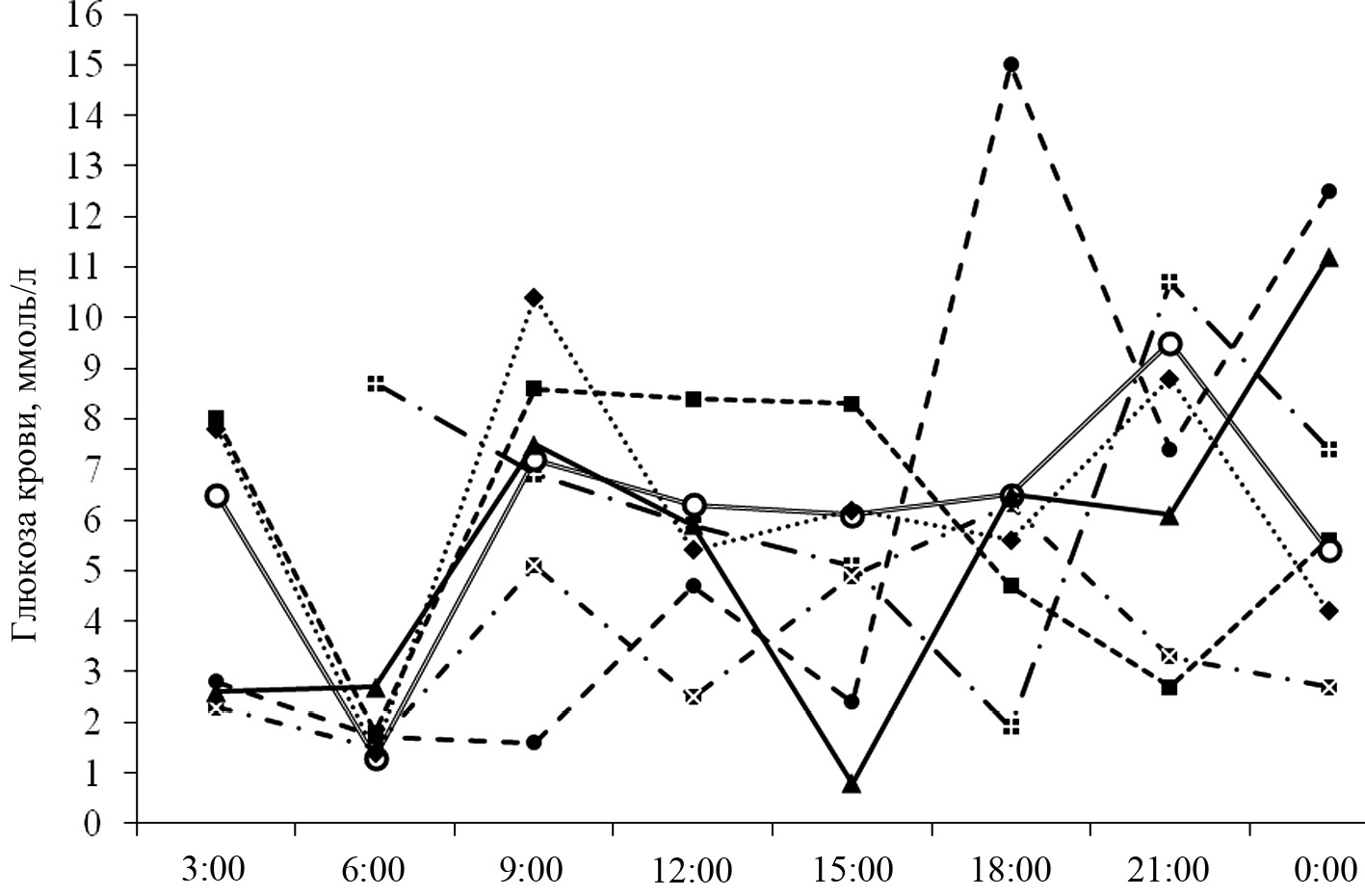
При поступлении гликемия составила 14,8 ммоль/л, в связи с чем однократно введен инсулин короткого действия (Актрапид) в дозе 0,1 ЕД/кг. В последующем терапия инсулином не проводилась. Круглосуточный мониторинг глюкозы крови в отсутствие инъекций инсулина обнаружил регулярные тяжелые асимптоматические гипогликемии (минимальная гликемия 0,8 ммоль/л) (рис. 2).
Рис. 2. Суточные колебания гликемии в течение нескольких дней.
За период госпитализации (3 нед) ребенок находился на плановой внутривенной инфузии 10% раствора глюкозы, получал энтеральное (Фрисовом, Фрисопеп, Фрисолак) и парентеральное питание (Инфезол). В течение всего наблюдения трижды отмечались эпизоды выраженного беспокойства, появления мраморности, признаков пареза кишечника (вздутие живота, отсутствие перистальтики, стула и газов), с выделением по зонду из желудка большого количества воздуха и молочной смеси без примеси желчи и дуоденального содержимого на фоне нормальных показателей электролитов крови, гликемии и без выраженных патологических изменений на обзорной рентгенограмме органов брюшной полости. Следует отметить, что вне приступов «пареза кишечника» стул был регулярный, без особенностей, ребенок самостоятельно активно сосал физиологический объем питания, не срыгивал. Вместе с тем прибавка в весе отсутствовала (рис. 3).
Рис. 3. Динамика массы тела за период обследования в клинике.
Результаты выполненных инструментальных обследований представлены в табл. 4.
Таблица 4. Данные методов визуализации
|
Метод |
Заключение |
|
УЗИ внутренних органов |
Гипертрофия стенок желудка, симптом гиперэхогенного кишечника |
|
УЗИ почек, надпочечников и поджелудочной железы |
Изменений не обнаружено |
|
Нейросонография |
Легкая дилатация боковых желудочков, петрификаты в проекции головки хвостатого ядра и чечевицеобразных ядер |
|
КТ головного мозга |
Гипоплазия мозолистого тела |
|
Рентгенография органов грудной клетки |
Повышение пневматизации легочной ткани, вздутие легочных полей, напряжение межреберных промежутков, умеренное обогащение легочного рисунка в медиальных зонах, расширение тени сердца в поперечнике (КТИ 56%) |
|
ЭхоКГ |
Открытое овальное окно и открытый артериальный проток в типичном месте |
Таблица 5. Консультации специалистов
|
Консультант |
Заключение |
|
Окулист |
Признаки атрофии зрительных нервов |
|
Генетик |
Cofs-синдром с аутосомно-рецессивным типом наследования (церебро-окуло-фацио-скелетный синдром) |
|
Детский эндокринолог |
Врожденный гиперинсулинизм |
При лабораторных исследованиях выявлены снижение гемоглобина до 75 г/л (норма 110–147), эритроцитов до 2,6·1012/л (норма 3,5–4,5·1012/л), анизоцитоз, пойкилоцитоз и гипохромия эритроцитов, что трактовалось как ранняя анемия у ребенка с гипотрофией. Количество лейкоцитов и тромбоцитов во всех анализах – в пределах возрастной нормы. Исследование липидограммы показало снижение холестерина до 0,9 ммоль/л (норма 1,6–4,9), что, вероятно, было связано с частыми гипогликемиями и использованием липидов в качестве энергетического субстрата. Активность АЛТ, АСТ, концентрация билирубина, общего белка, триглицеридов, калия, натрия, кетоновых тел, мочевой кислоты в сыворотке крови оставались нормальными в течение всего периода наблюдения. Важно, что рН и газовый состав крови не были нарушены. Дополнительно у ребенка обнаружены положительные антитела класса G к цитомегаловирусу, вирусу герпеса и токсоплазмозу в высоком титре, у матери – положительные антитела классов М и G к цитомегаловирусу, класса G – к вирусу герпеса и токсоплазмозу в высоком титре.
На фоне гипогликемии определяли концентрацию контринсулярных гормонов: соматотропина – 113,4 нг/мл (норма >10), кортизола – 260 нмоль/л (норма 150–660), ТТГ – 1,31 мкЕд/мл (норма 0,23–3,4) – патологии не выявлено. Вместе с тем обнаружена существенно повышенная концентрация инсулина – 270 нг/мл, объясняющая этиологию гипогликемии.
В анализах мочи кетонов не было, удельный вес 1002–1028, трехкратно регистрировалась глюкозурия до 156,9 ммоль/л (на фоне струйного введения глюкозы).
При проведении заместительной терапии глюкозой гипогликемии сохранялись с прежней частотой (до 5–7 раз/сут) и степенью выраженности (снижение гликемии до 1,3–2,0 ммоль/л). От дальнейшего обследования с решением вопроса о лечении диазоксидом или аналогом соматостатина родители отказались, и по настоянию матери пациент был переведен на дальнейшее выхаживание в больницу по месту жительства в возрасте 1 мес 13 дней. Оперативное лечение (субтотальная резекция поджелудочной железы) не выполнено из-за тяжести состояния ребенка (выраженная гипотрофия и сопутствующая патология).
После перевода в ЦРБ на 3-и сутки у ребенка появились гипертермия до 39 °С, вздутие живота, ухудшился аппетит до полного отказа от еды, лейкоцитоз со сдвигом лейкоцитарной формулы влево (в клиническом анализе крови). В возрасте 1 мес 16 дней на фоне постоянной инфузии 10% глюкозы и сохраняющейся гипогликемии (2,9–4,6–1,3–0,6 ммоль/л) произошла остановка сердца, при безуспешности реанимационных мероприятий констатирована смерть ребенка.
Из протокола патологоанатомического и гистологического исследования: гипертрофия и гиперплазия островков Лангерганса во всех дольках поджелудочной железы; печень с сохранной гистоархитектоникой и микроскопическими признаками холестаза. Дополнительно обнаружены продуктивный арахноидит, расстройство гемодинамики и гемореологии с неравномерным кровенаполнением внутренних органов (преимущественное малокровие; гиперемия с агрегацией эритроцитов и выраженный отек вещества головного мозга, слабовыраженные лейкостазы в сосудах легких и почек), интерстициальные изменения в почечной ткани, акцидентальная трансформация вилочковой железы 2–3-й стадии, а также ателектазы, бронхиолоспазм и макрофагальный альвеолит в легких.
Диагноз и обсуждение
Результаты наблюдения, обследования и посмертной экспертизы позволили сформулировать основной диагноз: Врожденная патология поджелудочной железы с гипертрофией и гиперплазией островков Лангерганса. Неонатальная гипогликемия (персистирующая, тяжелая) на фоне органического варианта гиперинсулинизма. Осложнение: гипогликемическая кома. Сопутствующие заболевания: COFS-синдром, панкреатическая недостаточность с транзиторными эпизодами динамической кишечной непроходимости, ЗВУР III степени по диспластическому типу.
Врожденный гиперинсулинизм (ВГИ) относится к наследственным заболеваниям с преимущественным аутосомно-рецессивным типом наследования, характеризуется избыточной секрецией инсулина β-клетками поджелудочной железы и является одной из основных причин тяжелых персистирующих гипогликемий в неонатальном периоде [7, 20–22]. Ряд авторов указывают на возможный аутосомно-доминантный вариант наследования [22].
Критериями диагноза ВГИ являются [20, 21]:
– персистирующие некетотические гипогликемии с высокой потребностью в экзогенно вводимой глюкозе (8 мг/кг/мин и более) для поддержания нормогликемии;
– уровень инсулина плазмы более 2,0 мЕд/мл, а также нормальный или повышенный уровень С-пептида (на фоне гипогликемии) в отсутствие данных за инсулиному;
– сохранная секреция контринсулярных гормонов (глюкагон, кортизол, СТГ);
– гипергликемический ответ при проведении пробы с глюкагоном.
Согласно данным литературы, частота встречаемости ВГИ составляет 1:30 000–1:50 000 новорожденных, а при близкородственных браках увеличивается до 1:2500 [20–22]. Причинами ВГИ являются дефекты генов, регулирующих внутриклеточный метаболизм глюкозы и секрецию инсулина β-клетками поджелудочной железы (KCNJ11, ABCC8, GCK, GLUD1, INSR, UСP2, HNF4α, HADH) [20–22]. Наиболее тяжелый вариант гиперинсулинизма отмечается при мутациях генов KCNJ11, ABCC8, регулирующих функцию АТФ-зависимых каналов β-клеток. Гистологически указанный вариант характеризуется диффузной и/или фокальной гиперплазией островковых клеток и в большинстве случаев требует удаления поджелудочной железы [22].
При стандартных исследованиях (УЗИ, КТ, МРТ) морфологические изменения в поджелудочной железе часто не визуализируются. К наиболее информативным методам верификации гиперплазии островковых клеток относят позитронно-эмиссионную томографию и селективную катетеризацию сосудов поджелудочной железы с определением концентрации инсулина. Однако эти методики в рутинной практике используются весьма ограниченно (отсутствие изотопов для ПЭТ, невозможность инвазивного забора крови у новорожденного); гиперфункция β-клеток поджелудочной железы подтверждается преимущественно лабораторными исследованиями (гликемия, инсулин в плазме) [8, 20, 21].
Основным методом лечения ВГИ является терапия селективным агонистом АТФ-зависимых калиевых каналов β-клеток (диазоксид) или аналогами соматостатина (октреотид). Рассматривается возможность применения глюкагона в виде непрерывной инфузии с использованием помпы. Вместе с тем, по данным литературы, достижение нормогликемии при консервативном лечении возможно только у 50–60% пациентов, в остальных случаях показана селективная или субтотальная панкреатэктомия [7, 8, 20, 21].
Цереброокулофацио-скелетный синдром (COFS-синдром) относится к орфанным заболеваниям, впервые описан в 1974 г. S. Pena и M. Schokeir. Популяционная частота неизвестна, встречаемость у лиц женского и мужского пола одинакова. Заболевание характеризуется аутосомно-рецессивным типом наследования с преимущественным поражением мозга, глаз, лица и скелета. В основе патологии – мутация гена ERCC6/CSB (10q11), которая сопровождается нарушением эксцизионной репарации ДНК при кросс-комплементарном обмене [23–25]. Реализация генетического дефекта стартует внутриутробно, что приводит к множественным порокам и аномалиям развития к моменту рождения ребенка. Для COFS-синдрома характерны внутриутробная гипотрофия, мышечная гипотония; пороки развития ЦНС (микроцефалия, агенезия мозолистого тела, гипоплазия гиппокампа и верхних теменных извилин, атрофия зрительных нервов, микрогирия базиллярных поверхностей), лицевые аномалии (седловидный нос, скошенный лоб, большие низкорасположенные ушные раковины, микрофтальмия, гипоплазия верхней челюсти, ретрогнатия), аномалии скелета (кифосколиоз, сгибательные контрактуры крупных суставов, вывих тазобедренных суставов или дисплазия вертлужной впадины, узкий таз), пороки развития внутренних органов (наиболее часто почек и сердца), отставание физического и психомоторного развития [23, 24, 25]. При этом синдроме отмечается высокая летальность на первом году жизни вследствие респираторных инфекций [23–25]. Сведений о связи COFS-синдрома с гиперплазией островков Лангерганса не найдено.
Дискуссионным остается вопрос о сахарном диабете с высокими значениями гликемии, потребовавшими назначения инсулина в первые дни жизни. Развитие транзиторного неонатального диабета в большинстве случаев обусловлено мутацией в гене KCNJ11 (гетерозиготное носительство) [22]. Другим вероятным механизмом развития гипергликемии в первые дни жизни у данного ребенка, по нашему мнению, могло быть транзиторное повышение секреторной функции α-клеток, которые составляют 15–20% пула островковых клеток и на фоне диффузной гипертрофии и гиперплазии островков Лангерганса могут секретировать избыток глюкагона, повышающего уровень глюкозы крови; эти же механизмы объясняют гипохолестеринемию, обнаруженную у пациента (липолитическое действие глюкагона).
Эпизоды «пареза кишечника», наблюдаемые в стационаре, возможно, были связаны с транзиторной динамической кишечной непроходимостью на фоне внешнесекреторной панкреатической недостаточности. В литературе описано уменьшение функционирующей экзокринной массы поджелудочной железы при эндокринных панкреатопатиях. Другим механизмом снижения ферментобразующей функции поджелудочной железы может быть дисбаланс гормонов, регулирующих панкреатическую секрецию. Известно, что соматостатин (секретируется δ-клетками) ингибирует выделение гастрина, секрецию соляной кислоты желудком и поступление ионов кальция в клетки панкреатических островков, а панкреатический полипептид (секретируется РР-клетками) является антагонистом холецистокинина. Соматостатин снижает базальную и стимулированную панкреатическую секрецию на 50% (прямое угнетающее действие и вследствие ингибирования холецистокинина) [26, 27]. Глюкагон в малых дозах нарушает выработку трипсина и липазы, в больших концентрациях – амилазы [27, 28]. Ряд авторов указывают на то, что глюкагон может инициировать атрофию поджелудочной железы [28].
Заключение
Персистирующие тяжелые гипокетотические гипогликемии с первых дней жизни, высокая потребность в экзогенной глюкозе, нормальная концентрация контринсулярных гормонов, а также доказанная гиперинсулинемия позволили верифицировать у данного пациента врожденный гиперинсулинизм. Вероятной причиной врожденной патологии поджелудочной железы следует считать генетический дефект (не исключается дефект KCNJ11 с аутосомно-рецессивным наследованием). Экспрессивность патологического гена в данном случае могла быть предопределена кровнородственным (инцестным) родительским браком, при котором основную опасность представляют именно аутосомно-рецессивные заболевания.
Учитывая ограниченные возможности консервативного и оперативного лечения, единственным возможным методом коррекции гипогликемии у ребенка были постоянные внутривенные дотации экзогенной глюкозы. Существенно повышенная инсулинемия на фоне органического варианта гиперинсулинизма, а также тяжелое общее состояние обусловили критическое снижение уровня глюкозы крови у данного пациента с летальным исходом.
Представленное наблюдение демонстрирует клинические и диагностические сложности ведения пациентов с неонатальными гипогликемиями, а также трудности терапевтического плана.
Дополнительная информация
Конфликт интересов. Авторы декларируют отсутствие явных и потенциальных конфликтов интересов, связанных с публикацией настоящей статьи.
Источники финансирования. Поисково-аналитическая работа и подготовка статьи осуществлены на личные средства авторского коллектива.
Согласие пациента. Законный представитель пациента дал письменное согласие на публикацию медицинских данных в журнале «Проблемы эндокринологии».
Участие авторов. Все авторы принимали участие в наблюдении пациента, внесли значимый вклад в проведение поисково-аналитической работы и подготовку статьи, прочли и одобрили финальную версию до публикации.
Список литературы
1. Hussain K, Chandran S, Rajadurai V, Alim A. Current perspectives on neonatal hypoglycemia, its management, and cerebral injury risk. Res Rep Neonatol. 2015:17. doi: https://doi.org/10.2147/rrn.s55353
2. Hay WW. Neonatal hypoglycemia. Pediatr Rev. 1999;20(7):6-15.
3. Иванов Д.О. Нарушения обмена глюкозы у новорожденных. – СПб.: Издательство Н-Л; 2011. [Ivanov DO. Narusheniya obmena glyukozy u novorozhdennykh. Saint-Petersburg: Izdatel’stvo N-L; 2011. (In Russ.)]
4. De Leon DD, Stanley CA. Mechanisms of Disease: advances in diagnosis and treatment of hyperinsulinism in neonates. Nat Clin Pract Endocrinol Metab. 2007;3(1):57-68. doi: https://doi.org/10.1038/ncpendmet0368
5. Иванов Д.О., Шабалов Н.П., Петренко Ю.В. Диагностика и лечение гипогликемии у новорожденных: методические рекомендации. – СПб.; 2015. [Ivanov DO, Shabalov NP, Petrenko YuV. Diagnostika i lechenie gipoglikemii u novorozhdennykh: metodicheskie rekomendatsii. Saint-Petersburg; 2015. (In Russ.)]
6. Шабалов Н.П. Неонатология: Учебное пособие: в 2 т. Т. 1. – М.: МЕДпресс-информ; 2006. [Shabalov NP. Neonatologiya: Textbook: In 2 vol. Vol. 1. Moscow: MEDpress-inform; 2006. (In Russ.)]
7. Руководство по детской эндокринологии. / Под ред. Дедова И.И., Петерковой В.А.. – М.: Универсум Паблишинг; 2006. [Dedov II, Peterkova VA, editors. Rukovodstvo po detskoy endokrinologii. Moscow: Universum Publishing; 2006. (In Russ.)]
8. Руководство по детской эндокринологии / Под ред. Брука Ч.Г.Д., Браун С.Р. – М.: ГЭОТАР-Медиа; 2009. [Brook CGD, Braun SR, editors. A Guide to the Practice of Paediatric Endocrinology. Moscow: GEOTAR-Media; 2009. (In Russ.)]
9. Пальчик А.Б., Шабалов Н.П. Гипоксически-ишемическая энцефалопатия новорожденных. 4-е изд. – М.: МЕДпресс-информ; 2013. [Pal’chick AB, Shabalov NP. Gipoksicheski-ishemicheskaya entsefalopatiya novorozhdennykh. 4th ed. Moscow: MEDpress-inform; 2013. (In Russ.)]
10. Неонатология: Национальное руководство. / Под ред. Володина Н.Н. – М.: ГЭОТАР-Медиа; 2014. [Volodin NN, editor. Neonatologiya: National guidelines. Moscow: GEOTAR-Media; 2014. (In Russ.)]
11. Солодкова И.В., Мельникова Л.Н., Паршина Н.В. и др. Дети от матерей с сахарным диабетом. Сахарный диабет у новорожденных. Клинические рекомендации. 2016. [Solodkova IV, Melnikova LN, Parshina NV, et al. Deti ot materey s sakharnym diabetom. Sakharnyy diabet u novorozhdennykh. Clinical guidelines. 2016. (In Russ.)]
12. Naif MH, Hanoudi BM, Ayoub NI. Evaluation of Maternal and Neonatal Risk factors for Neonatal Hypoglycemia. Iraqi journal of community medicine. 2013;26(1):13-18.
13. Wight N, Marinelli KA, Academy Of Breastfeeding Medicine Protocol C. ABM clinical protocol №1: guidelines for glucose monitoring and treatment of hypoglycemia in breastfed neonates. Breastfeed Med. 2006;1(3):178-184. doi: https://doi.org/10.1089/bfm.2006.1.178
14. Thornton PS, Stanley CA, De Leon DD, et al. Recommendations from the Pediatric Endocrine Society for Evaluation and Management of persistent hypoglycemia in neonates, infants, and children. J Pediatr. 2015;167:238-245. doi: https://doi.org/10.1016/j.jpeds.2015.03.057
15. Committee on Fetus and Newborn, Adamkin DH. Postnatal glucose homeostasis in late-preterm and term infants. Pediatrics. 2011;127(3):575-579. doi: https://doi.org/10.1542/peds.2010-3851
16. Chertok IRA, Raz I, Shoham I, et al. Effects of early breastfeeding on neonatal glucose levels of term infants born to women with gestational diabetes. J Hum Nutr Diet. 2009;22(2):166-169. doi: https://doi.org/10.1111/j.1365-277X.2008.00921.x
17. Angela Siderfin. Information for parents about babies with low blood sugars. Salisbury: Salisbury NHS Foundation Trust; 2017.
18. who.int [интернет]. Всемирная организация здравоохранения [доступ от 25.10.2018]. Доступ по ссылке: https://who.int/ru. [Who.int [Internet]. World Health Organization [cited 2018 Oct 25]. Available from: https://who.int/ru. (In Russ.)]
19. Федеральные клинические рекомендации (протоколы) по ведению детей с эндокринными заболеваниями. / Под ред. Дедова И.И., Петерковой В.А. – М.: Практика; 2014. [Dedov II, Peterkova VA. Federal’nye klinicheskie rekomendatsii (protokoly) po vedeniyu detey s endokrinnymi zabolevaniyami. Moscow: Prektika; 2014. (In Russ.)]
20. Меликян М.А. Врожденный гиперинсулинизм. // Проблемы эндокринологии. – 2010. – Т. 56. – №6. – С. 41-47. [Melikyan MA. Congenital hyperinsulinism. Problems of endocrinology. 2010;56(6):41-47. (In Russ.)] doi: https://doi.org/10.14341/probl201056641-47
21. Меликян М.А., Петряйкина Е.Е., Фомина В.Л. и др. Врожденный гиперинсулинизм: диагностика и лечение. // Педиатрия. Журнал им. Г.Н. Сперанского. – 2011. – Т. 90. – №1. – С. 59-65. [Melikyan MA, Petryaykina EE, Fomina VL, et al. Vrozhdennyy giperinsulinizm: diagnostika i lechenie. Pediatriia. 2011;90(1):59-65. (In Russ.)]
22. De Leon DD, Stanley CA. Mechanisms of Disease: advances in diagnosis and treatment of hyperinsulinism in neonates. Nat Clin Pract Endocrinol Metab. 2007;3(1):57-68. doi: https://doi.org/10.1038/ncpendmet0368
23. Del Bigio MR, Greenberg CR, Rorke LB, et al. Neuropathological Findings in Eight Children with Cerebro-oculo-facio-skeletal (COFS) Syndrome. J Neuropathol Exp Neurol. 1997;56(10):1147-1157. doi: https://doi.org/10.1097/00005072-199710000-00009
24. Mathur NB, Alwadhi RK, Garg P. Cerebro-oculo-facio-skeletal syndrome in a neonate. Indian Pediatr. 2002;39(8):761-763.
25. Paladini D, D’Armiento M, Ardovino I, Martinelli P. Prenatal diagnosis of the cerebro-oculo-facio-skeletal (COFS) syndrome. Ultrasound Obstet Gynecol. 2000;16(1):91-93. doi: https://doi.org/10.1046/j.1469-0705.2000.00150.x
26. Губергриц Н.Б., Фоменко П.Г., Колкина В.Я. Внешнесекреторная недостаточность поджелудочной железы при сахарном диабете // Российский журнал гастроэнтерологии, гепатологии, колопроктологии. – 2009. – Т. 19. – №5. – С. 61-67. [Gubergrits NB, Fomenko PG, Kolkina VYa. Vneshnesekretornaya nedostatochnost’ podzheludochnoy zhelezy pri sakharnom diabete. Russian journal of gastroenterology, hepatology, coloproctology. 2009;19(5):61-67. (In Russ.)]
27. Von Der Ohe M, Layer P, Wollny C, et al. Somatostatin 28 and coupling of human interdigestive intestinal motility and pancreatic secretion. Gastroenterology. 1992;103(3):974-981. doi: https://doi.org/10.1016/0016-5085(92)90031-s
28. Ferrer R, Medrano J, Diego M, et al. Effect of Exogenous Insulin and Glucagon on Exocrine Pancreatic Secretion in Rats In Vivo. Int J Gastrointest Cancer. 2000;28(1):67-76. doi: https://doi.org/10.1385/ijgc:28:1:67
Об авторах
Татьяна Евгеньевна ТаранушенкоРоссия
д.м.н., профессор
Наталья Геннадьевна Киселева
Россия
кандидат медицинских наук, доцент
Ольга Викторовна Лазарева
Россия
Ирина Ивановна Калюжная
Россия
Дополнительные файлы
|
|
1. Рис. 1. Внешний вид пациента с неонатальным сахарным диабетом. | |
| Тема | ||
| Тип | Прочее | |
Посмотреть
(61KB)
|
Метаданные ▾ | |
|
|
2. Рис. 2. Суточные колебания гликемии в течение нескольких дней. | |
| Тема | ||
| Тип | Прочее | |
Посмотреть
(112KB)
|
Метаданные ▾ | |
|
|
3. Рис. 3. Динамика массы тела за период обследования в клинике. | |
| Тема | ||
| Тип | Прочее | |
Посмотреть
(54KB)
|
Метаданные ▾ | |
Рецензия
Для цитирования:
Таранушенко Т.Е., Киселева Н.Г., Лазарева О.В., Калюжная И.И. Гипогликемии у новорожденных: обзор литературы и описание клинического случая. Проблемы Эндокринологии. 2019;65(4):251-262. https://doi.org/10.14341/probl8336
For citation:
Taranushenko T.E., Kiseleva N.G., Lazareva O.V., Kalygnaja I.I. Hypoglycemia in neonates: a review of the literature and a case report. Problems of Endocrinology. 2019;65(4):251-262. https://doi.org/10.14341/probl8336
Контент доступен под лицензией Creative Commons Attribution-NonCommercial-NoDerivatives 4.0 International License (CC BY-NC-ND 4.0).




































.jpg)

