Перейти к:
Тест с глюкагоном в диагностике вторичной надпочечниковой недостаточности после краниоспинального облучения: возможность применения, особенности проведения, диагностическая информативность
https://doi.org/10.14341/probl10219
Аннотация
Обоснование. Тест с глюкагоном (ТГ) является перспективной альтернативой тесту с инсулиновой гипогликемией (ТИГ) при диагностике вторичной надпочечниковой недостаточности (ВНН).
Цель: изучить возможность применения ТГ у пациентов после краниоспинального облучения и определить точку разделения для исключения ВНН.
Методы. Обследованы 28 пациентов (14 мужчин) с медианой возраста 19 лет (17;23), не менее 2 лет назад завершивших комплексное лечение (операция, краниоспинальное облучение в дозе 35 Гр с бустом на ложе опухоли до 55 Гр и полихимиотерапия) внегипофизарных опухолей головного мозга, и 10 добровольцев, сопоставимых по полу и возрасту с основной группой. Всем участникам исследования с интервалом не менее 5–7 дней проводились ТГ и ТИГ с определением уровней кортизола, АКТГ, глюкозы.
Результаты. По данным ТИГ у 12 из 28 пациентов выявлена ВНН. При ROC-анализе выброс кортизола в ходе ТГ >499 нмоль/л исключал ВНН (чувствительность (Se) 100%; специфичность (Sp) 62%), отсутствие подъема > 340 нмоль/л подтверждало ВНН (100% Sp; 55% Se). Площадь под кривой для ТГ составила 93,6%, что соответствует очень хорошей диагностической информативности. У 19 пациентов результаты ТИГ и ТГ совпадали (у 10 произошел выброс кортизола выше точки разделения в обоих тестах; у 9 выброс отсутствовал). В 9 случаях результаты оказались дискордантными: у 6 пациентов (21,4%) в ходе ТГ максимальный уровень кортизола не превышал 500 нмоль/л, но ВНН была исключена по данным ТИГ (ложноположительный результат ТГ); у 3 (10,7%) пациентов, наоборот, в ходе ТГ выброс кортизола был адекватным, но в ходе ТИГ – недостаточным. Нежелательные явления при ТГ в виде тошноты отмечены у 9 (25%) участников, у 1 пациента зафиксирована гипогликемия (1,8 ммоль/л).
Заключение. ТГ обладает очень хорошей информативностью и может использоваться как стимуляционный тест первого уровня для исключения ВНН у пациентов после краниоспинального облучения по поводу опухолей головного мозга. Наилучшая точка разделения для исключения ВНН по ТГ – максимальный уровень кортизола 500 нмоль/л. Подтверждающим тестом второго уровня у пациентов с положительным результатом ТГ является тест с инсулиновой гипогликемией.
Ключевые слова
Для цитирования:
Юдина А.Е., Павлова М.Г., Сотников В.М., Целовальникова Т.Ю., Мазеркина Н.А., Желудкова О.Г., Герасимов А.Н., Теряева Н.Б., Мартынова Е.Ю., Ким Е.И. Тест с глюкагоном в диагностике вторичной надпочечниковой недостаточности после краниоспинального облучения: возможность применения, особенности проведения, диагностическая информативность. Проблемы Эндокринологии. 2019;65(4):227-235. https://doi.org/10.14341/probl10219
For citation:
Yudina A.E., Pavlova M.G., Sotnikov V.M., Tselovalnikova T.Y., Mazerkina N.A., Zheludkova O.G., Gerasimov A.N., Teryaeva N.B., Martynova E., Kim E.I. The glucagon test in diagnosis of secondary adrenal insufficiency after craniospinal irradiation: the feasibility of application, the features of performing the test, and its diagnostic informativity. Problems of Endocrinology. 2019;65(4):227-235. https://doi.org/10.14341/probl10219
Обоснование
Вторичная надпочечниковая недостаточность (ВНН) – состояние, развивающееся вследствие поражения гипоталамо-гипофизарной системы. ВНН не только значимо ухудшает качество жизни, но и представляет серьезную опасность для пациентов. Нередко ВНН остается недиагностированной. Распространенность ВНН после краниоспинального облучения по поводу опухолей головного мозга высока и достигает 50% [1]. «Золотым стандартом» диагностики является тест с инсулиновой гипогликемией (ТИГ) [2, 3]. Его проведение требует госпитализации пациента. К тому же гипогликемия сопровождается неприятными симптомами и имеет ряд противопоказаний: значимые сердечно-сосудистые заболевания, судорожный синдром [4]. Последнее противопоказание особенно часто характерно для лиц молодого возраста, перенесших лечение злокачественных новообразований головного мозга [5, 6]. По данным зарубежных авторов, у таких пациентов альтернативные ТИГ-пробы применяют не менее чем в 25–50% случаев [1, 6].
При противопоказаниях к ТИГ наиболее перспективным для диагностики ВНН представляется тест с глюкагоном (ТГ) [7, 8]. По классическому протоколу пациенту внутримышечно вводят 1 мг глюкагона (при массе >90 кг – 1,5 мг глюкагона) и на протяжении 4 ч 6 раз берут пробы крови для определения концентрации кортизола и глюкозы.
Механизмы стимуляции секреции АКТГ при введении глюкагона до конца не выяснены. Возможно, играет роль стресс, вызванный относительной гипогликемией (в течение первого часа ТГ концентрация глюкозы возрастает, но затем резко снижается). Однако ТГ информативен и у пациентов с сахарным диабетом. В ряде исследований показано, что между 30-й и 150-й минутой после введения глюкагона происходит выброс норадреналина, совпадающий по времени с выбросом кортизола [7].
Возможность применения ТГ для диагностики ВНН доказана у детей с дефицитом гормона роста [9, 10] и у пациентов, перенесших удаление аденомы гипофиза [11]. Исследования с участием лиц, перенесших краниоспинальное облучение, отсутствуют.
Цель
Изучение возможности использования ТГ у лиц, перенесших краниоспинальное облучение по поводу опухолей головного мозга, и определение точки разделения концентрации кортизола для исключения ВНН у данной группы пациентов.
Методы
Дизайн исследования
Проведено одномоментное одноцентровое выборочное контролируемое неослепленное нерандомизированное исследование.
Всем участникам исследования проводили 2 стимуляционных теста для исследования функции гипоталамо-гипофизарно-надпочечниковой оси – ТИГ и ТГ. Тесты проводили в произвольном порядке с интервалом не менее 5–7 дней.
Критерии соответствия
В исследование включались пациенты старше 16 лет, прошедшие лечение по поводу внегипофизарных опухолей головного мозга и получившие, помимо операции и полихимиотерапии (ПХТ), краниоспинальное облучение (КСО) в дозе 30–35 Гр с бустом на ложе опухоли до 50–55 Гр. Период ремиссии составлял не менее 2 лет. В группу контроля вошли 10 здоровых добровольцев, сопоставимых по полу и возрасту.
Критерии невключения: отсутствие ремиссии, повторное краниальное облучение, прямое облучение гипоталамо-гипофизарной области, беременность, лактация.
Условия проведения
Обследования проводились в условиях стационара на базе кафедры и клиники эндокринологии Университетской клинической больницы № 2 ФГАОУ ВО «Первый МГМУ им. И.М. Сеченова».
Продолжительность исследования
Исследование продолжалось с 2011 по 2016 г.
Описание медицинского вмешательства
Тест с глюкагоном. Тест начинали в 9:00–9:30. После ночного голодания всем участникам исследования устанавливали внутривенный катетер и брали пробу крови для определения концентрации АКТГ, кортизола, глюкозы, а также для проведения общеклинического и биохимического анализов. Затем внутримышечно вводили глюкагон в дозе 1 мг (ГлюкаГен ГипоКит, НовоНордиск). Заборы проб крови для определения концентрации АКТГ, кортизола и глюкозы проводили на 90, 120, 150, 180, 210 и 240-й минутах ТГ.
Тест с инсулиновой гипогликемией. ТИГ также начинали в 9:00–9:30. После ночного голодания участникам исследования устанавливали внутривенный катетер и брали пробу крови для определения концентрации глюкозы, АКТГ, кортизола. После 15-минутного отдыха в катетер вводили инсулин короткого действия (Хумулин Регуляр, «Эли Лилли») из расчета 0,2 ЕД/кг массы тела. Заборы проб крови для определения концентрации кортизола и АКТГ проводили на 15-й, 30-й, 45-й, 60-й, 90-й и 120-й минутах теста. Концентрацию глюкозы в крови контролировали глюкометром («Ime DC», Германия) через каждые 15 мин до достижения гликемии 3 ммоль/л, а далее – через каждые 3–5 мин. После снижения концентрации глюкозы до 2,2 ммоль/л брали пробу крови для лабораторного подтверждения гипогликемии. Гипогликемию купировали внутривенным введением 60–80 мл 40% раствора глюкозы. Если к 45-й минуте теста гипогликемия не развивалась, дополнительно вводили болюс инсулина короткого действия из расчета 0,1–0,15 ЕД/кг массы тела. ВНН диагностировали при максимальной концентрации кортизола в ходе ТИГ не более 550 нмоль/л [12].
Основной исход исследования
Анализ сопоставимости результатов 2 стимуляционных тестов и определение оптимальной точки разделения.
Дополнительные исходы исследования
Описание особенностей проведения ТГ у пациентов, перенесших комплексное лечение внегипофизарных опухолей головного мозга.
Анализ в подгруппах
Пациенты были разделены на подгруппы в зависимости от результатов 2 тестов. Термин «ложноположительный» (ЛП) использовался как синоним «ошибки первого рода» (ТГ показывает наличие ВНН, тогда как ТИГ исключает ее). Термин «ложноотрицательный» использовался как синоним «ошибки второго рода» (ТГ показывает отсутствие ВНН, тогда как пиковая концентрация кортизола в ходе ТИГ не достигает 550 нмоль/л). В соответствии с этим истинноположительными (ИП) результатами считали совпадение критериев обоих тестов (концентрация кортизола ниже диагностического уровня), а истинноотрицательными (ИО) – при концентрации кортизола в 2 тестах выше точки разделения.
Методы регистрации исходов
АКТГ и кортизол определяли твердофазным иммунометрическим методом с хемилюминесцентной детекцией на приборах Immulite 2000i (АКТГ) и Centaur XP (кортизол); биохимический анализ крови проводился на анализаторе Dimension XPand, «Siemens» с использованием стандартных наборов фирмы.
Этическая экспертиза
Все участники перед началом исследования подписывали информированное добровольное согласие. Протокол исследования одобрен локальным этическим комитетом Первого МГМУ им. И.М. Сеченова (№10-11 от 17.11.11).
Статистический анализ
Размер выборки предварительно не рассчитывался. Статистический анализ проводился с помощью пакета программ IBM SPSS Statisticа 18. Данные представлены в виде Ме [25;75] и min-max. Степень достоверности различий в независимых выборках определялась критерием Манна–Уитни; при сравнении 3 групп использовался критерий Краскела–Уоллиса, проблема множественных сравнений решалась с помощью критерия Данна. Анализ изменений в зависимых выборках проводился с помощью критерия Уилкоксона. Различия считались значимыми при р<0,05.
Для оценки чувствительности (Se), специфичности (Sp) и оптимальной точки разделения (cut-off) в ТГ использовался ROC-анализ с определением площади под кривой (AUC).
Результаты
Участники исследования
В исследование включены 38 человек. Основную группу составили 28 пациентов (мужчины : женщины – 1:1; медиана возраста 19 лет [17; 23], получившие КСО по поводу внегипофизарных опухолей головного мозга (табл. 1) в дозе 34,9±5,1 Гр на область головного мозга с бустом на ложе опухоли до 55±1,4 Гр и 33,7±0,7 Гр на область спинного мозга. Медиана (Ме) ремиссии составила 7 [5;10] лет. В группу контроля вошли сопоставимые по полу и возрасту 10 здоровых добровольцев (мужчины : женщины – 1:1; Ме возраста – 20 [16;30] лет; р=0,28).
Таблица 1. Гистологическое строение опухолей у пациентов основной группы
|
Диагноз |
Количество пациентов |
|
Медуллобластома задней черепной ямки (ЗЧЯ) |
24 |
|
Эпендимома ЗЧЯ |
2 |
|
Примитивная нейроэктодермальная опухоль левой теменной области |
1 |
|
Герминома пинеальной области |
1 |
|
Всего |
28 |
Основные результаты исследования
Динамика концентрации кортизола в ходе ТГ и ТИГ у пациентов после КСО
По данным ТИГ ВНН имела место у 12 пациентов.
По данным ROC-анализа пик концентрации кортизола в ходе ТГ 500 нмоль/л и выше обладал 100% чувствительностью; специфичность составила 62%, поэтому этот уровень был выбран точкой разделения наличия/исключения ВНН по результатам ТГ.
У 19 пациентов данные 2 тестов совпадали: у 10 пациентов выявлены истинноотрицательные результаты (кортизол в ходе ТИГ более 550 нмоль/л, а в ходе ТГ более 500 нмоль/л), у 9 – истинноположительные (кортизол в тестах менее 550 и 500 нмоль/л соответственно). У всех пациентов с ВНН пик кортизола в ходе ТГ не превышал 340 нмоль/л (Sp=100%; Se=55%).
ТГ обладал очень хорошей информативностью при диагностике ВНН (по данным ROC-анализа, 93,6% (ДИ=76–97%, р<0,001) (рис. 1).
Рис. 1. Кривая ошибок для максимальной концентрации кортизола в ходе теста с глюкагоном.
Максимальная концентрация кортизола в ходе ТИГ и ТГ значимо не различалась при ИО и ИП результатах (табл. 2). Имела место сильная связь между пиками концентрации кортизола в ходе ТИГ и ТГ (r=0,7; р<0,001).
Таблица 2. Максимальные концентрации кортизола (медиана и интерквартильный интервал) в тесте с инсулиновой гипогликемией (ТИГ) и тесте с глюкагоном (ТГ) у пациентов с истинноположительными и истинноотрицательными результатами
|
Кортизол ТГ |
Кортизол ТИГ |
p1 |
|
|
Истинноотрицательные (n=10) |
596 [509; 678] |
639 [604; 689] |
0,231 |
|
Истинноположительные (n=9) |
326 [245; 407]* |
366 [277; 468]* |
0,496 |
|
Здоровые |
647 [543; 734] |
634 [548;667] |
0,700 |
|
p2 |
р<0,001 |
р<0,001 |
Примечание. р1 – достоверность различий групп по концентрации кортизола в ходе ТГ и ТИГ (критерий Уилкоксона); р2 – достоверность различий в группах истинноотрицательных, истинноположительных результатов и у здоровых лиц (критерий Краскела-Уоллиса); * – концентрация кортизола у пациентов с ИП результатами достоверно ниже, чем при ИО и у здоровых лиц (критерий Данна).
Сравнение концентрации кортизола в ходе ТГ и ТИГ у пациентов и здоровых добровольцев
Максимальная концентрация кортизола в ходе ТИГ и ТГ у добровольцев не различалась (р=0,7) (табл. 2). Пик кортизола в ходе ТГ у добровольцев был выше (р<0,001), чем у пациентов с ВНН (ИП результаты). Значимая разница в максимальной концентрации кортизола у добровольцев и пациентов без ВНН (ИО результаты) отсутствовала (р=0,57). (табл. 2).
Динамика концентрации АКТГ
ROC-анализ обнаружил низкую диагностическую информативность оценки максимальной концентрации АКТГ в ходе ТГ у пациентов основной группы.
Разница максимальной концентрации АКТГ в группах с ИО и ИП не достигала статистической значимости (табл. 3).
Таблица 3. Концентрация АКТГ в группах исследования
|
Истинноположительные |
Истинноотрицательные |
Здоровые лица |
р |
|
|
АКТГ, пг/мл |
26, 6 [19,8;43,7] |
38,1 [19,6;50] |
26,9 [24,2; 53,4] |
0,75 |
Примечание: р – критерий Краскела–Уоллиса
Корреляции между пиками АКТГ в ходе ТИГ и ТГ не выявлено (r=0,3; р=0,7).
Дополнительные результаты исследования
Ложноотрицательные и ложноположительные результаты ТГ
Расхождение результатов 2 тестов имело место у 3 здоровых добровольцев и 9 пациентов.
У 2 добровольцев максимальная концентрация кортизола в ходе ТГ была <500 нмоль/л (172 и 375 нмоль/л), у остальных – превышала 600 нмоль/л.
У 1 добровольца выброс кортизола в ходе ТИГ всего составил 440 нмоль/л, однако в ходе ТГ он оказался выше точки разделения (632 нмоль/л).
У 3 пациентов по результатам ТИГ была диагностирована ВНН (максимальная концентрация кортизола 421; 471 и 472 нмоль/л), однако при ТГ пики концентрации кортизола превышали 500 нмоль/л (574, 551 и 660 нмоль/л соответственно). Мы расценили это расхождение как ЛП результат ТИГ (а не ЛО результат ТГ), поскольку концентрация кортизола в ходе ТИГ находилась в «серой зоне» (от 400 до 550 нмоль/л), а в ТГ была высокой.
У 6 пациентов отмечен ЛП результат ТГ (табл. 4).
Таблица 4. Максимальный кортизол в тесте с инсулиновой гипогликемией и тесте с глюкагоном у участников с ложноположительными результатами ТГ
|
Пациенты |
Максимальный кортизол в ходе ТИГ, нмоль/л |
Максимальный кортизол в ходе ТГ, нмоль/л |
|
1 |
607 |
345 |
|
2 |
676 |
472 |
|
3 |
687 |
428 |
|
4 |
855 |
389 |
|
5 |
563 |
403 |
|
6 |
647 |
422 |
|
Добровольцы |
||
|
1 |
549 |
172 |
|
2 |
670 |
375 |
Последовательность проведения тестов, антропометрические данные, концентрация ТТГ, Т4 св., ЛГ, ФСГ, пролактина, СТГ, ИФР-1 не влияли на ЛП результаты. Диагностические возможности ТГ представлены в табл. 5.
Таблица 5. Диагностические возможности теста с глюкагоном
|
Доля больных |
0,36 |
|
Доля здоровых |
0,64 |
|
Доля положительных диагнозов |
0,6 |
|
Доля отрицательных диагнозов |
0,4 |
|
Доля правильных диагнозов |
0,76 |
|
Доля неправильных диагнозов |
0,24 |
|
Чувствительность |
1 |
|
Специфичность |
0,625 |
|
Диагностическая эффективность |
0,815 |
|
Вероятность заболевания при положительном результате |
0,6 |
|
Вероятность заболевания при отрицательном результате |
0 |
|
Относительный риск заболевания при положительном диагнозе по отношению к отрицательному диагнозу |
6 |
|
Отношение правдоподобия для положительного результата теста |
2,666667 |
Особенности теста с глюкагоном у пациентов, перенесших КСО
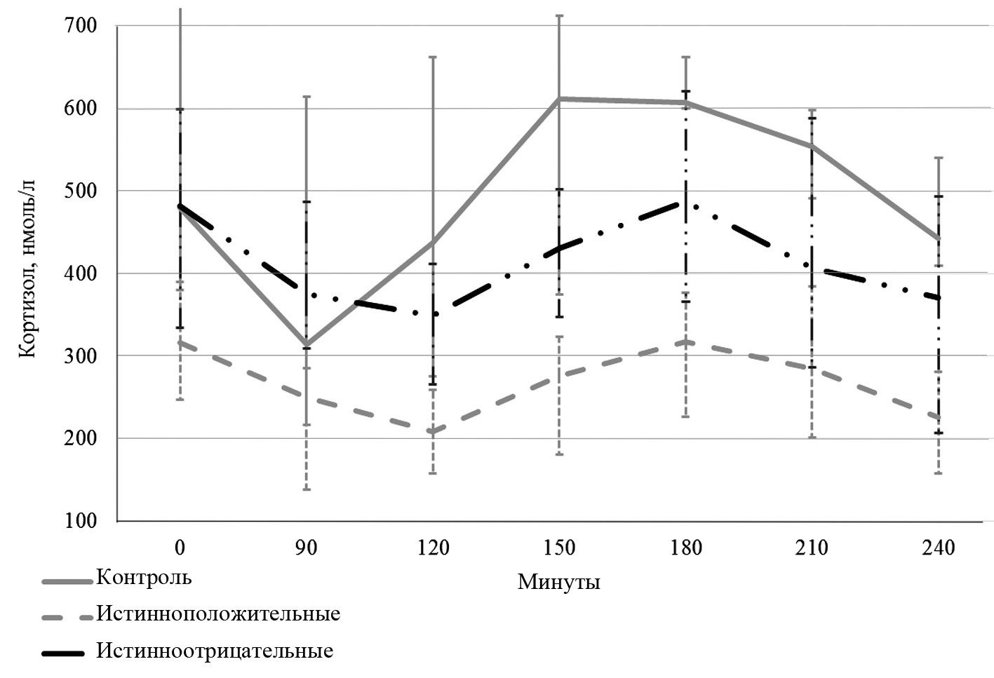
В ходе ТГ у большинства обследованных было отмечено значимое снижение концентрации кортизола на 90-й и 120-й минутах (р<0,001), после чего следовал ее подъем до максимума к 180-й минуте. На 210-й и 240-й минутах происходило постепенное снижение концентрации кортизола до исходного уровня (рис. 2).
Рис. 2. Динамика концентрации кортизола (медиана и интерквартильный интервал) в группах исследования в ходе теста с глюкагоном.
У большинства пациентов с ИО результатами и добровольцев концентрация >500 нмоль/л наблюдалась на 180-й минуте. Однако у 2 пациентов и 1 добровольца он достигался раньше (на 90-й, 120-й и 150-й минуте соответственно), а еще у 2 пациентов – на 210-й и 240-й минуте.
Максимальный подъем концентрации глюкозы у 90,6% участников исследования отмечен на 90-й минуте, а минимальная концентрация – в период от 120-й до 210-й минуты. Только у 1 пациента зафиксирована гипогликемия (1,8 ммоль/л), у остальных минимальная концентрация глюкозы колебалась от 3,0 до 4,9 ммоль/л. Минимальная концентрация глюкозы в группах ИП и ИО результатов значимо не различалась (р=0,6). Динамика концентрации глюкозы в ходе ТГ представлена на рис. 3.
Рис. 3. Динамика концентрации глюкозы (медиана и интерквартильный интервал) в ходе теста с глюкагоном у пациентов с истинноположительными и истинноотрицательными результатами.
Нежелательные явления
ТГ хорошо переносился практически всеми участниками. Только 5 пациентов и 4 добровольца отмечали тошноту через 30–60 мин после введения глюкагона. Между 150-й и 180-й минутами 10 пациентов и 2 добровольца жаловались на слабость или головокружение. Наличие жалоб (в том числе тошноты) не коррелировало с концентрацией глюкозы, кортизола и артериального давления в ходе теста (r=0,11; р=0,4).
Обсуждение
«Золотым стандартом» диагностики ВНН является ТИГ. Однако пациентам с сердечно-сосудистыми заболеваниями или судорожным синдромом в анамнезе этот тест противопоказан. Кроме того, для его проведения требуется госпитализация и, как показывает реальная клиническая практика, далеко не каждый эндокринолог обладает опытом проведения ТИГ. Нередко ВНН диагностируется несвоевременно, поскольку определяют только базальную концентрацию гормонов. Основная цель нашего исследования заключалась в оценке возможности и целесообразности проведения ТГ в качестве альтернативы ТИГ у взрослых пациентов, перенесших краниоспинальное облучение.
Для оценки качества метода диагностики относительно «золотого стандарта» используется ROC-анализ с расчетом AUC. Традиционно диагностическая информативность теста считается очень хорошей при AUC более 90%, хорошей при значениях от 70 до 90% и слабой при значениях менее 70%. При AUC менее 50% тест признается не обладающим различающей способностью. По нашим данным, AUC для ТГ составила 93,6%, что свидетельствует о высокой информативности этого теста. К тому же концентрация кортизола в ходе ТИГ и ТГ значимо не различалась, что также свидетельствует о сопоставимой диагностической информативности обоих тестов.
В литературе обсуждается концентрация кортизола в ходе ТГ, достаточная для исключения ВНН. Ряд авторов полагают, что оптимальной является точка разделения (cut-off), близкая к таковой в ТИГ [10, 13, 14]. Другие полагают, что cut-off для концентрации кортизола в ходе ТГ может быть ниже (табл. 6) [9, 11]. По нашим данным, пик концентрации кортизола, соответствующий 100% чувствительности для пациентов, перенесших краниоспинальное облучение, составляет 500 нмоль/л, что близко к сut-off в ходе ТИГ.
Таблица 6. Точки разделения (cut-off) для максимальной концентрации кортизола, их чувствительность и специфичность при ТГ в отношении исключения ВНН (по данным ряда исследований)
|
Автор |
Cut-off, номль/л |
Sр |
Sе |
Характеристика пациентов |
|
Cegla J. et al. [9] |
350 |
71 |
57 |
Взрослые после черепно-мозговой травмы или с органическим поражением гипофиза |
|
Berg С. et al. [10] |
599 |
32 |
100 |
Взрослые после трансназальных транссфеноидальных аденомэктомий |
|
277 |
95 |
72 |
||
|
Böttner A. et al. [14] |
450 |
88,5 |
86,5 |
Дети с подозрением на дефицит гормона роста или ВНН |
|
Di Iorgi N. et al. [11] |
403 |
66,7 |
100 |
Дети с доказанным дефицитом гормона роста |
|
Ach T. et al. [15] |
460 |
89 |
79 |
Взрослые с аденомами гипофиза |
Berg C. и соавт. предложили cut-off со 100% специфичностью (277 нмоль/л) для пациентов, перенесших трансназальную транссфеноидальную аденомэктомию [10]. У пациентов, перенесших КСО, мы получили более высокое значение cut-off (340 нмоль/л), что может быть не только с небольшим объемом наблюдений, но и с различием этиологии ВНН: у наших пациентов гипоталамо-гипофизарная область напрямую не повреждалась.
ТГ может проводиться амбулаторно, хорошо переносится пациентами, не требует присутствия большого количества медицинского персонала, но проводится длительно (в течение 4 ч). Поэтому некоторые авторы выступают за сокращение его продолжительности до 180 мин, аргументируя это тем, что у большинства пациентов подъем концентрации кортизола приходится именно на это время [7, 10, 13]. В нашем исследовании у 2 (15%) пациентов пик концентрации кортизола регистрировался на 210–240-й минутах, что соответствует данным Z. Karaca и др., а также A. Hamrahian и др. [15, 16]. Мы считаем сокращение теста до 3 ч нецелесообразным, поскольку это может приводить к гипердиагностике ВНН [8, 10].
У 9 пациентов и 2 добровольцев результаты обоих тестов расходились. Число ЛП результатов ТГ в нашем исследовании составило 25%, что согласуется с результатами A. Tenenbaum и соавт. [17].
У 3 пациентов и 1 добровольца выброс кортизола в ходе ТИГ был ниже точки разделения, тогда как в ходе ТГ он оказался достаточным. Возможность ЛП результатов ТИГ обсуждается крайне редко. A. Hamrahian и др. по результатам ТИГ диагностировали ВНН у пациента при пике кортизола в ходе ТГ более 500 нмоль/л [16]. Y. Simsek и соавт. нашли, что только у половины пациентов с отсутствием пика в ходе ТИГ данные подтверждаются двумя другими тестами (ТГ и низкодозированный тест с 1-24 АКТГ) [18]. Более того, при ТИГ у здоровых добровольцев в 10–20% случаев не наблюдается должного подъема концентрации кортизола [2, 3]. Поэтому мы расценили отсутствие выброса кортизола в ходе ТИГ как ЛП результат этого теста (а не как ЛО результат ТГ).
Максимальная концентрация АКТГ в ходе обоих тестов значимо не различалась, поэтому мы считаем его определение при ТГ нецелесообразным.
Мониторирование концентрации глюкозы в ходе ТГ позволяет вовремя выявить тенденцию к гипогликемии. В то же время определить концентрацию глюкозы при ТГ, по которому можно было бы оценить валидность теста (как, например, 2,2 ммоль/л для ТИГ), нам, как и K. Leong и др., не удалось [7].
Наиболее частым побочным эффектом при проведении ТГ является тошнота, которая встречается не более чем в 30% случаев [10, 11, 14]. ТГ в большинстве случаев переносится хорошо, и многие пациенты предпочитают именно этот тест, а не ТИГ [14].
Для диагностики ВНН вместо ТИГ рекомендован стандартный или низкодозированный тест с 1-24 АКТГ* [19]. В нашей стране использование этого теста затруднительно [12], поэтому ТГ пока остается единственной реальной альтернативой ТИГ, особенно при противопоказанности последнего.
Ограничения исследования
В исследование были включены пациенты, получавшие КСО в дозе 30–35 Гр с бустом на ложе опухоли до 55 Гр по поводу внегипофизарных опухолей головного мозга. Поэтому диагностические концентрации кортизола и прогностическая ценность ТГ у пациентов, перенесших прямые вмешательства в области гипофиза, могут существенно отличаться.
Объем выборки был небольшим и предварительно не рассчитывался, в связи с чем точка разделения со 100% Sp (340 нмоль/л) должна быть подтверждена в других исследованиях.
Заключение
Полученные результаты свидетельствуют о том, что ТГ является перспективной альтернативой ТИГ. Ранее не имелось достаточно данных о применении ТГ для диагностики ВНН у пациентов, перенесших комплексное лечение опухолей головного мозга. Наше исследование показало, что ТГ может применяться у пациентов после перенесенного КСО. В то же время высокая чувствительность (100%) и низкая специфичность (62%) ТГ при cut-off стимулированной концентрации кортизола в 500 нмоль/л позволяет рекомендовать этот метод в качестве теста первого уровня в диагностике ВНН у пациентов после КСО. Подтверждающим тестом второго уровня у пациентов с положительным результатом ТГ остается ТИГ. Определение концентрации АКТГ в ходе теста не дает дополнительной информации и нецелесообразно. Мы рекомендуем использовать классический вариант ТГ с заборами проб крови в течение 240 мин, поскольку сокращение до 180 мин может приводить к гипердиагностике вторичного гипокортицизма.
Дополнительная информация
Источник финансирования. Исследование выполнено при поддержке гранта №8801 Министерства науки и высшего образования РФ «Медико-социальная реабилитация мужчин и женщин, перенесших комбинированное лечение онкологических заболеваний в детстве», а также благотворительного фонда «Подари жизнь».
Конфликт интересов. Авторы декларируют отсутствие явных и потенциальных конфликтов интересов, связанных с публикацией настоящей статьи.
Участие авторов. А.Е. Юдина – концепция и дизайн исследования, сбор и обработка материала, статистическая обработка данных, анализ полученных результатов, написание текста; М.Г. Павлова – концепция и дизайн исследования, редактирование текста; В.М. Сотников, Н.А. Мазеркина, О.Г. Желудкова – концепция и дизайн исследования, редактирование текста; Т.Ю. Целовальникова – сбор и обработка материала; А.Н. Герасимов – концепция и дизайн исследования, статистическая обработка данных, редактирование текста; Н.Б. Теряева – концепция и дизайн исследования, обработка материала, редактирование текста; Е.Ю. Мартынова – сбор и обработка материала, редактирование текста; Е.И. Ким – сбор и обработка материала. Все авторы внесли существенный вклад в проведение исследования и подготовку статьи, прочли и одобрили финальную версию до публикации.
Примечание:
*При стандартном тесте с 1-24 АКТГ внутривенно вводят 250 мкг тетракозактида короткого действия; при низкодозированном — 1 мкг 1-24 АКТГ. Тест с синактеном-депо для диагностики ВНН за пределами России не используется.
Список литературы
1. Schmiegelow M, Feldt-Rasmussen U, Rasmussen AK, et al. Assessment of the hypothalamo-pituitary-adrenal axis in patients treated with radiotherapy and chemotherapy for childhood brain tumor. J Clin Endocrinol Metab. 2003;88(7):3149–3154. doi: https://doi.org/10.1210/jc.2002-021994
2. Pfeifer M, Kanc K, Verhovec R, Kocijancic A. Reproducibility of the insulin tolerance test (ITT) for assessment of growth hormone and cortisol secretion in normal and hypopituitary adult men. Clin Endocrinol (Oxf). 2001;54(1):17–22. doi: https://doi.org/10.1046/j.1365-2265.2001.01179.x
3. Vestergaard P, Hoeck HC, Jakobsen PE, Laurberg P. Reproducibility of growth hormone and cortisol responses to the insulin tolerance test and the short ACTH test in normal adults. Horm Metab Res. 1997;29(3):106–110. doi: https://doi.org/10.1055/s-2007-979000
4. Grossman AB. The diagnosis and management of central hypoadrenalism. J Clin Endocrinol Metab. 2010;95(11):4855–4863. doi: https://doi.org/10.1210/jc.2010-0982
5. Желудкова О.Г., Поляков В.Г., Рыков М.Ю. и др. Клинические проявления онкологических заболеваний у детей: практические рекомендации. / Под ред. В.Г. Полякова, М.Ю. Рыкова. – СПб.: Типография Михаила Фурсова, 2017. – 52 с. [Zheludkova OG, Polyakov VG, Rykov MYu. Klinicheskie proyavleniya onkologicheskikh zabolevanii u detei: practicheskie rekomendatsii. Ed. by Polyakov VG, Rykov MYu. St. Petersburg: Tipografiya Mikhaila Fursova; 2017. 52 p. (In Russ).]
6. Agha A, Sherlock M, Brennan S, et al. Hypothalamic-pituitary dysfunction after irradiation of nonpituitary brain tumors in adults. J Clin Endocrinol Metab. 2005;90(12):6355–6360. doi: https://doi.org/10.1210/jc.2005-1525
7. Leong KS, Walker AB, Martin I, et al. An audit of 500 subcutaneous glucagon stimulation tests to assess growth hormone and ACTH secretion in patients with hypothalamic-pituitary disease. Clin Endocrinol (Oxf). 2001;54(4):463–468. doi: https://doi.org/10.1046/j.1365-2265.2001.01169.x
8. Yuen KC, Biller BM, Katznelson L, et al. Clinical characteristics, timing of peak responses and safety aspects of two dosing regimens of the glucagon stimulation test in evaluating growth hormone and cortisol secretion in adults. Pituitary. 2013;16(2):220–230. doi: https://doi.org/10.1007/s11102-012-0407-7
9. Cegla J, Jones B, Seyani L, et al. Comparison of the overnight metyrapone and glucagon stimulation tests in the assessment of secondary hypoadrenalism. Clin Endocrinol (Oxf). 2013;78(5):738–742. doi: https://doi.org/10.1111/cen.12043
10. Berg C, Meinel T, Lahner H, et al. Diagnostic utility of the glucagon stimulation test in comparison to the insulin tolerance test in patients following pituitary surgery. Eur J Endocrinol. 2010;162(3): 477–482. doi: https://doi.org/10.1530/EJE-09-0824
11. di Iorgi N, Napoli F, Allegri A, et al. The accuracy of the glucagon test compared to the insulin tolerance test in the diagnosis of adrenal insufficiency in young children with growth hormone deficiency. J Clin Endocrinol Metab. 2010;95(5):2132–2139. doi: https://doi.org/10.1210/jc.2009-2697
12. Эндокринология: Национальное руководство. / Под ред. Дедова И.И., Мельниченко Г.А. 2-е изд., перераб. и доп. – М.: ГЭОТАР-Медиа, 2016. – 1142 c. [Dedov II, Melnichenko GA, editors. Endocrinology: National guidelines. 2nd ed., revised and enlarged. Moscow: GEOTAR-Media; 2016. 1142 p. (In Russ).]
13. Karaca Z, Lale A, Tanriverdi F, et al. The comparison of low and standard dose ACTH and glucagon stimulation tests in the evaluation of hypothalamo-pituitary-adrenal axis in healthy adults. Pituitary. 2011;14(2):134–140. doi: https://doi.org/10.1007/s11102-010-0270-3
14. Böttner A, Kratzsch J, Liebermann S, et al. Comparison of adrenal function tests in children – the glucagon stimulation test allows the simultaneous assessment of adrenal function and growth hormone response in children. J Pediatr Endocrinol Metab. 2005;18(5):433–442. doi: https://doi.org/10.1515/jpem.2005.18.5.433
15. Ach T, Yosra H, Jihen M, et al. Cortisol cut-points for the glucagon stimulation test in the evaluation of hypothalamic pituitary adrenal axis. Endocr J. 2018;65(9):935–942. doi: https://doi.org/10.1507/endocrj.EJ18-0147
16. Hamrahian AH, Yuen KC, Gordon MB, et al. Revised GH and cortisol cut-points for the glucagon stimulation test in the evaluation of GH and hypothalamic–pituitary–adrenal axes in adults: results from a prospective randomized multicenter study. Pituitary. 2016;19(3):332–341. doi: https://doi.org/10.1007/s11102-016-0712-7
17. Tenenbaum A, Phillip M, de Vries L. The intramuscular glucagon stimulation test does not provide good discrimination between normal and inadequate ACTH reserve when used in the investigation of short healthy children. Horm Res Paediatr. 2014;82(3):194–200. doi: https://doi.org/10.1159/000365190.
18. Simsek Y, Karaca Z, Tanriverdi F, et al. A comparison of low-dose ACTH, glucagon stimulation and insulin tolerance test in patients with pituitary disorders. Clin Endocrinol (Oxf). 2015;82(1):45–52. doi: https://doi.org/10.1111/cen.12528
19. Fleseriu M, Hashim I, Karavitaki N, et al. Hormonal replacement in hypopituitarism in adults: an Endocrine Society clinical practice guideline. J Clin Endocrinol Metab. 2016;101(11):3888–3921. doi: https://doi.org/110.1210/jc.2016-2118
Об авторах
Алла Евгеньевна ЮдинаРоссия
Аспирант, врач-эндокринолог, кафедра эндокринологии
Мария Геннадиевна Павлова
Россия
К.м.н., врач-эндокринолог, кафедра эндокринологии
Владимир Михайлович Сотников
Россия
доктор медицинских наук, профессор, ведущий научный сотрудник, заведующий отделением лучевых и комбинированных методов лечения
Татьяна Юрьевна Целовальникова
Россия
Врач-эндокринолог, кафедра эндокринологии
Надежда Александровна Мазеркина
Россия
Д.м.н., врач-эндокринолог
Ольга Григорьевна Желудкова
Россия
Д.м.н., врач-онколог
Андрей Николаевич Герасимов
Россия
Д.ф-м.н., заведующий кафедрой медицинской информатики и статистики
Надежда Борисовна Теряева
Россия
к.м.н. ст.науч.сотрудник
Евгения Юрьевана Мартынова
Россия
врач-эндокринолог
Екатерина Игоревна Ким
Россия
студентка лечебного факультета
Дополнительные файлы
|
|
1. Рис. 1. Кривая ошибок для максимальной концентрации кортизола в ходе теста с глюкагоном. | |
| Тема | ||
| Тип | Прочее | |
Посмотреть
(39KB)
|
Метаданные ▾ | |
|
|
2. Рис. 2. Динамика концентрации кортизола (медиана и интерквартильный интервал) в группах исследования в ходе теста с глюкагоном. | |
| Тема | ||
| Тип | Прочее | |
Посмотреть
(87KB)
|
Метаданные ▾ | |
|
|
3. Рис. 3. Динамика концентрации глюкозы (медиана и интерквартильный интервал) в ходе теста с глюкагоном у пациентов с истинноположительными и истинноотрицательными результатами. | |
| Тема | ||
| Тип | Прочее | |
Посмотреть
(61KB)
|
Метаданные ▾ | |
Рецензия
Для цитирования:
Юдина А.Е., Павлова М.Г., Сотников В.М., Целовальникова Т.Ю., Мазеркина Н.А., Желудкова О.Г., Герасимов А.Н., Теряева Н.Б., Мартынова Е.Ю., Ким Е.И. Тест с глюкагоном в диагностике вторичной надпочечниковой недостаточности после краниоспинального облучения: возможность применения, особенности проведения, диагностическая информативность. Проблемы Эндокринологии. 2019;65(4):227-235. https://doi.org/10.14341/probl10219
For citation:
Yudina A.E., Pavlova M.G., Sotnikov V.M., Tselovalnikova T.Y., Mazerkina N.A., Zheludkova O.G., Gerasimov A.N., Teryaeva N.B., Martynova E., Kim E.I. The glucagon test in diagnosis of secondary adrenal insufficiency after craniospinal irradiation: the feasibility of application, the features of performing the test, and its diagnostic informativity. Problems of Endocrinology. 2019;65(4):227-235. https://doi.org/10.14341/probl10219
Контент доступен под лицензией Creative Commons Attribution-NonCommercial-NoDerivatives 4.0 International License (CC BY-NC-ND 4.0).




































.jpg)

