Подготовка пациента с сахарным диабетом 1 типа на заместительной почечной терапии диализом к трансплантации почки
https://doi.org/10.14341/probl12686
Аннотация
Трансплантация почки (ТП) считается уникальным методом заместительной почечной терапии, позволяющим пациентам с сахарным диабетом 1 типа (СД1) с диабетической нефропатией на терминальной стадии почечной недостаточности, находящимся на лечении программным диализом (перитонеальный диализ и гемодиализ), повысить качество жизни и ее продолжительность. В настоящее время создание и внедрение инновационных технологий по управлению диабетом и современных иммуносупрессантов позволяют достигать лучших результатов реабилитации пациента с СД1 после пересадки почки, особенно в короткие сроки после начала диализной терапии. Для снижения ранних и поздних осложнений после ТП важнейшее значение имеет предтрансплантационное обследование пациента с СД1 перед включением его в лист ожидания. Подготовка к пересадке почки охватывает такие мероприятия, как эффективный контроль гликемии, проведение адекватной диализной терапии, диагностика других осложнений диабета и различных сопутствующих заболеваний, особенно сердечно-сосудистой системы, тяжесть которых является определяющим фактором в принятии решения о перспективе ТП. Кроме того, выявление и лечение любого инфекционного процесса, своевременная вакцинопрофилактика, тщательный онкопоиск представляют основу программы подготовки пациента к пересадке почки, обеспечивающей наилучшую выживаемость почечного трансплантата и реципиента.
Ключевые слова
Об авторах
С. А. МартыновРоссия
Мартынов Сергей Андреевич - доктор медицинских наук.
117036, Москва, ул. Дм. Ульянова, д. 11.
eLibrary SPIN: 6231-2450
Конфликт интересов:
Авторы декларируют отсутствие конфликтов интересов.
А. С. Северина
Россия
Северина Анастасия Сергеевна - кандидат медицинских наук, ведущий научный сотрудник.
117036, Москва, ул. Дм. Ульянова, д. 11.
eLibrary SPIN: 3182-9510
Конфликт интересов:
Авторы декларируют отсутствие конфликтов интересов.
И. И. Ларина
Россия
Ларина Ирина Игоревна - научный сотрудник.
117036, Москва, ул. Дм. Ульянова, д. 11.
eLibrary SPIN: 1220-6080
Конфликт интересов:
Авторы декларируют отсутствие конфликтов интересов.
М. Ш. Шамхалова
Россия
Шамхалова Минара Шамхаловна - доктор медицинских наук.
117036, Москва, ул. Дм. Ульянова, д. 11.
eLibrary SPIN: 4942-5481
Конфликт интересов:
Авторы декларируют отсутствие конфликтов интересов.
С. В. Арзуманов
Россия
Арзуманов Сергей Викторович - доктор медицинских наук.
Москва.
eLibrary SPIN: 8317-3723
Конфликт интересов:
Авторы декларируют отсутствие конфликтов интересов.
А. В. Пинчук
Россия
Пинчук Алексей Валерьевич - доктор медицинских наук.
Москва.
eLibrary SPIN: 8875-2456
Конфликт интересов:
Авторы декларируют отсутствие конфликтов интересов.
М. В. Шестакова
Россия
Шестакова Марина Владимировна - доктор медицинских наук, профессор, академик РАН.
117036, Москва, ул. Дм. Ульянова, д. 11.
eLibrary SPIN: 7584-7015
Конфликт интересов:
Авторы декларируют отсутствие конфликтов интересов.
Список литературы
1. International Diabetes Federation. IDF Diabetes atlas. 9th edition. 2019. 168 p. ISBN: 978-2-930229-87-4
2. You W-P, Henneberg M. Type 1 diabetes prevalence increasing globally and regionally: the role of natural selection and life expectancy at birth. BMJ Open Diabetes Res Care. 2016;4(1):e000161. doi: https://doi.org/10.1136/bmjdrc-2015-000161
3. Xu G, Liu B, Sun Y, et al. Prevalence of diagnosed type 1 and type 2 diabetes among US adults in 2016 and 2017: population based study. BMJ. 2018:k1497. doi: https://doi.org/10.1136/bmj.k1497
4. Дедов И.И., Шестакова М.В., Викулова О.К., и др. Атлас регистра сахарного диабета Российской Федерации. Статус 2018 г. // Сахарный диабет. — 2018. — Т. 21. — №3. — С. 144-159. doi: https://doi.org/10.14341/DM12208
5. Дедов И.И., Шестакова М.В., Викулова О.К. Эпидемиология сахарного диабета в Российской Федерации: клинико-статистический анализ по данным Федерального регистра сахарного диабета // Сахарный диабет. — 2017. — Т. 20. — №1. — С. 13-41. doi: https://doi.org/10.14341/DM20171
6. Helve J, Sund R, Arffman M, et al. Incidence of End-Stage Renal Disease in Patients With Type 1 Diabetes. Diabetes Care. 2018;41(3):434-439. doi: https://doi.org/10.2337/dc17-2364
7. Gheith O, Othman N, Nampoory N, et al. Diabetic kidney disease: difference in the prevalence and risk factors worldwide. J Egypt Soc Nephrol Transplant. 2016;16(3):65. doi: https://doi.org/10.4103/1110-9165.197379
8. Bakris GL, Molitch M. Are All Patients With Type 1 Diabetes Destined for Dialysis if They Live Long Enough? Probably Not. Diabetes Care. 2018;41(3):389-390. doi: https://doi.org/10.2337/dci17-0047
9. Bikbov B, Purcell CA, Levey AS, et al. Global, regional, and national burden of chronic kidney disease, 1990–2017: a systematic analysis for the Global Burden of Disease Study 2017. Lancet. 2020;395(10225):709-733. doi: https://doi.org/10.1016/S0140-6736(20)30045-3
10. US Renal Data System 2019 Annual Data Report. Epidemiology of kidney disease in the United States. Available from: https://www.usrds.org/media/2371/2019-executive-summary.pdf
11. Российское диализное общество [интернет]. Доступно по ссылке: http://nephro.ru/index.php?r=site/pageView&id=298%20,%20journal.nephro.ru/index.php?r=journal/pageView&id=298
12. Бикбов Б.Т., Томилина Н.А. Состав больных и показатели качества лечения на заместительной терапии терминальной хронической почечной недостаточности в Российской Федерации в 1998–2013 гг. Отчет по данным регистра заместительной почечной терапии Российского диализного общества. Часть вторая // Нефрология и диализ. — 2016. — Т. 18. — №2. — С. 98-164.
13. Ortiz F, Harjutsalo V, Helanterä I, Lempinen M, Forsblom C, Groop P-H. Long-term Mortality After Kidney Transplantation in a Nationwide Cohort of Patients With Type 1 Diabetes in Finland. Diabetes Care. 2019;42(1):55-61. doi: https://doi.org/10.2337/dc18-1029
14. Subramaniam K., Sakai T. Anesthesia and perioperative care for organ transplantation. New York: Springer Science+Business Media; 2017.
15. Шумаков В.И., Мойсюк Я.Г., Томилина Н.А. В кн. Нефрология. Трансплантация почки. Руководство для врачей / Под ред. И.Е. Тареевой. — М.: Медицина; 2000. 688 c.
16. Vademecum. Деловой журнал об индустрии здравоохранения [интернет]. Доступно по ссылке: https://vademec.ru/news/2020/03/19/kolichestvo-transplantatsiy-organov-v-2019-vyroslo-na-11/. Ссылка активна 23.09.2020.
17. Арзуманов С.В. Роль трансплантации поджелудочной железы в лечении терминальной стадии диабетической нефропатии: Дисс. … докт. мед. наук. — Москва; 2018 / Доступно по: https://www.dissercat.com/content/rol-transplantatsii-podzheludochnoi-zhelezy-v-lechenii-terminalnoi-stadii-diabeticheskoi-nef
18. Wiseman AC, Huang E, Kamgar M, Bunnapradist S. The impact of pre-transplant dialysis on simultaneous pancreas–kidney versus living donor kidney transplant outcomes. Nephrol Dial Transplant. 2013;28(4):1047-1058. doi: https://doi.org/10.1093/ndt/gfs582
19. Zeier M, Ritz E. Preparation of the dialysis patient for transplantation. Nephrol Dial Transplant. 2002;17(4):552-556. doi: https://doi.org/10.1093/ndt/17.4.552
20. Chadban SJ, Ahn C, Axelrod DA, et al. KDIGO Clinical Practice Guideline on the Evaluation and Management of Candidates for Kidney Transplantation. Transplantation. 2020;104:S11-S103. doi: https://doi.org/10.1097/TP.0000000000003136
21. Федеральный закон Российской Федерации от 22 декабря 1992 № 4180-1 (ред. от 23 мая 2016) «О трансплантации органов и (или) тканей человека». Доступно по: https://normativ.kontur.ru/document?moduleId=1&documentId=98490. Ссылка активна на 03.09.2020.
22. Asao K, Sarti C, Forsen T, et al. Long-Term Mortality in Nationwide Cohorts of Childhood-Onset Type 1 Diabetes in Japan and Finland. Diabetes Care. 2003;26(7):2037-2042. doi: https://doi.org/10.2337/diacare.26.7.2037
23. Groop PH, Thomas M, Feodoroff M, et al. Excess mortality in patients with type 1 diabetes without albuminuriadseparating the contribution of early and late risks. Diabetes Care. 2018. doi: https://doi.org/10.2337/dc17-1618
24. Groop P-H, Thomas MC, Moran JL, et al. The Presence and Severity of Chronic Kidney Disease Predicts All-Cause Mortality in Type 1 Diabetes. Diabetes. 2009;58(7):1651-1658. doi: https://doi.org/10.2337/db08-1543
25. Cheung AK, Sarnak MJ, Yan G, et al. Cardiac diseases in maintenance hemodialysis patients: Results of the HEMO Study. Kidney Int. 2004;65(6):2380-2389. doi: https://doi.org/10.1111/j.1523-1755.2004.00657.x
26. Rostand SG, Kirk KA, Rutsky EA. Dialysis-associated ischemic heart disease: Insights from coronary angiography. Kidney Int. 1984;25(4):653-659. doi: https://doi.org/10.1038/ki.1984.70
27. Joki N, Hase H, Nakamura R, Yamaguchi T. Onset of coronary artery disease prior to initiation of haemodialysis in patients with end-stage renal disease. Nephrol Dial Transplant. 1997;12(4):718-723. doi: https://doi.org/10.1093/ndt/12.4.718
28. Pinilla-Echeverri N, Moreno-Reig AL, Romera-Segorbe AM, et al. Prognostic factors of coronary heart disease in asymptomatic diabetics for inclusion on the kidney transplant waiting list. Screening with coronary angiography. Nefrologia. 2012;32(4):502-507. doi: https://doi.org/10.3265/Nefrologia.pre2012.Apr.11355
29. Snell-Bergeon JK, Hokanson JE, Jensen L, et al. Progression of coronary artery calcification in type 1 diabetes. Diabetes Care. 2003;26(10):2923-2928. doi: https://doi.org/10.2337/diacare.26.10.2923
30. Keshawarz A, Pyle L, Alman A, et al. Type 1 diabetes accelerates progression of coronary artery calcium over the menopausal transition: The CACTI Study. Diabetes Care. 2019;42(12):2315-2321. doi: https://doi.org/10.2337/dc19-1126
31. Orchard TJ, Kretowski A, Costacou T, Nesto RWE. Type 1 diabetes and coronary artery disease. Diabetes care. 2006;29(11):2528-2538. doi: https://doi.org/10.2337/dc06-1161
32. Herzog CA, Ma JZ, Collins AJ. Long-term outcome of dialysis patients in the United States with coronary revascularization procedures. Kidney Int. 1999;56(1):324-332. doi: https://doi.org/10.1046/j.1523-1755.1999.00540.x
33. House AA, Wanner C, Sarnak MJ, et al. Heart failure in chronic kidney disease: conclusions from a Kidney Disease: Improving Global Outcomes (KDIGO) Controversies Conference. Kidney Int. 2019;95(6):1304-1317. doi: https://doi.org/10.1016/j.kint.2019.02.022
34. Kuo IY, Chapman A. Intracranial Aneurysms in ADPKD. Clin J Am Soc Nephrol. 2019;14(8):1119-1121. doi: https://doi.org/10.2215/CJN.07570719
35. Zander, Heinke, Reindel, et al. Periphere arterielle Verschlusskrankheit bei Diabetes mellitus Typ 1 und Typ 2: Unterscheiden sich die Risikofaktoren? Vasa. 2002;31(4):249-254. doi: https://doi.org/10.1024/0301-1526.31.4.249
36. Garimella PS, Hart PD, O’Hare A, et al. Peripheral Artery Disease and CKD: A Focus on Peripheral Artery Disease as a Critical Component of CKD Care. Am J Kidney Dis. 2012;60(4):641-654. doi: https://doi.org/10.1053/j.ajkd.2012.02.340
37. Stock PG, Barin B, Murphy B, et al. Outcomes of Kidney Transplantation in HIV-Infected Recipients. N Engl J Med. 2010;363(21):2004-2014. doi: https://doi.org/10.1056/NEJMoa1001197
38. Fabrizi F, Messa P, Martin P. Hepatitis B Virus Infection and the Dialysis Patient. Semin Dial. 2008;21(5):440-446. doi: https://doi.org/10.1111/j.1525-139X.2008.00437.x
39. Caragea C, Mihailovici AR, Streba CT, et al. Hepatitis C infection in hemodialysis patients. Curr Health Sci J. 2018;44(2):107-112. doi: https://doi.org/10.12865/CHSJ.44.02.02
40. Recommendations for preventing transmission of infections among chronic hemodialysis patients. MMWR Recomm. Rep. 2001;50:1-43. 0Available from: https://www.cdc.gov/mmwr/preview/mmwrhtml/rr5005a1.htm
41. Finelli L, Miller JT, Tokars JI, et al. KDIGO 2018 Clinical Practice Guideline for the Prevention, Diagnosis, Evaluation, and Treatment of Hepatitis C in Chronic Kidney Disease. Kidney Int Suppl. 2018;8(3):91-165. doi: https://doi.org/10.1016/j.kisu.2018.06.001
42. Pipili CL, Papatheodoridis GV, Cholongitas E.C. Treatment of hepatitis B in patients with chronic kidney disease. Kidney Intern. 2013;84:880-885. doi: https://doi.org/10.1038/ki.2013.249
43. Taborelli M, Toffolutti F, Del Zotto S, et al. Increased cancer risk in patients undergoing dialysis: a population-based cohort study in North-Eastern Italy. BMC Nephrol. 2019;20(1):107. doi: https://doi.org/10.1186/s12882-019-1283-4
44. Penn I. The effect of immunosuppression on pre‐existing cancers. Transplantation. 1993;55(4):742-747. doi: https://doi.org/10.1097/00007890-199304000-00011
45. Molnar MZ, Huang E, Hoshino J, et al. Association of pretransplant glycemic controlwith posttransplant outcomes in diabetic kidney transplant recipients. Diabetes Care. 2011. doi: https://doi.org/10.2337/dc11-0906
46. Kim YC, Shin N, Lee S, et al. Effect of post-transplant glycemic control on long-term clinical outcomes in kidney transplant recipients with diabetic nephropathy: A multicenter cohort study in Korea. PLoS One. 2018;13(4):e0195566. doi: https://doi.org/10.1371/journal.pone.0195566
47. Глазунова А.М. Динамика метаболических, гормональных и гемодинамических факторов у больных СД1 после трансплантации почки и сочетанной трансплантации поджелудочной железы и почки: Дис. … канд. мед. наук. — Москва; 2015. Доступно по: https://www.endocrincentr.ru/sites/default/files/specialists/science/dissertation/disser_glazunova2.pdf
48. Ramirez S, Maaske J, Kim Y, et al. The Association Between Glycemic Control and Clinical Outcomes After Kidney Transplantation. Endocr Pract. 2014;20(9):894-900. doi: https://doi.org/10.4158/EP13463.OR
49. Nakao T, Inaba M, Abe M, et al. Best Practice for Diabetic Patients on Hemodialysis 2012. Ther Apher Dial. 2015. doi: https://doi.org/10.1111/1744-9987.12299
50. Bedi R, Chowdhury T.A., El-Sherbini N. et al. JBDS-IP Management of adults with diabetes on the haemodialysis unit. 2016 Apr.
51. Abe M, Kaizu K, Matsumoto K. Evaluation of the Hemodialysis-induced changes in plasma glucose and insulin concentrations in diabetic patients: Comparison between the hemodialysis and non-hemodialysis days. Ther Apher Dial. 2007;11:288-295. doi: https://doi.org/10.1111/j.1744-9987.2007.00492.x
52. Jamaludin UK, Docherty PD, Geoffrey Chase J, Shaw GM. Impact of Haemodialysis on Insulin Kinetics of Acute Kidney Injury Patients in Critical Care. J Med Biol Eng. 2015;35(1):125-133. doi: https://doi.org/10.1007/s40846-015-0015-x
53. Rhee CM, Leung AM, Kovesdy CP, Lynch KE, Brent GA, Kalantar-Zadeh K. Updates on the Management of Diabetes in Dialysis Patients. Semin Dial. 2014;27(2):135-145. doi: https://doi.org/10.1111/sdi.12198
54. Tzamaloukas AH. Interpreting glycosylated hemoglobin in diabetic patients on peritoneal dialysis. Advances in Peritoneal Dialysis. 1996;12:171-175.
55. Sinha N, Mishra TK, Singh T, Gupta N. Effect of Iron Deficiency Anemia on Hemoglobin A1c Levels. Ann Lab Med. 2012;32(1):17-22. doi: https://doi.org/10.3343/alm.2012.32.1.17
56. Sharif A, Baboolal K. Diagnostic Application of the A 1c Assay in Renal Disease. J Am Soc Nephrol. 2010;21(3):383-385. doi: https://doi.org/10.1681/ASN.2010010031
57. Park J, Lertdumrongluk P, Molnar MZ, et al. Glycemic Control in Diabetic Dialysis Patients and the Burnt-Out Diabetes Phenomenon. Curr Diab Rep. 2012;12(4):432-439. doi: https://doi.org/10.1007/s11892-012-0286-3
58. Ramirez SPB, McCullough KP, Thumma JR, et al. Hemoglobin A1c Levels and Mortality in the Diabetic Hemodialysis Population: Findings from the Dialysis Outcomes and Practice Patterns Study (DOPPS). Diabetes Care. 2012;35(12):2527-2532. doi: https://doi.org/10.2337/dc12-0573
59. Hoshino J, Larkina M, Karaboyas A, et al. Unique hemoglobin A1c level distribution and its relationship with mortality in diabetic hemodialysis patients. Kidney Int. 2017;92(2):497-503. doi: https://doi.org/10.1016/j.kint.2017.02.008
60. Ricks J, Molnar MZ, Kovesdy CP, et al. Glycemic Control and Cardiovascular Mortality in Hemodialysis Patients With Diabetes: A 6-Year Cohort Study. Diabetes. 2012;61(3):708-715. doi: https://doi.org/10.2337/db11-1015
61. Ricks J, Molnar MZ, Kovesdy CP, et al. Introduction: Standards of Medical Care in Diabetes—2018. Diabetes Care. 2018;41(Supplement 1):S1-S2. doi: https://doi.org/10.2337/dc18-Sint01
62. Алгоритмы специализированной медицинской помощи больным сахарным диабетом. Клинические рекомендации. 9-й выпуск / Под ред. Дедова И.И., Шестаковой М.В., Майорова А.Ю. Министерство здравоохранения Российской Федерации, 2019.
63. KDIGO Clinical Practice Guideline for the Care of Kidney Transplant Recipients. Am J Transplant. Special Issue. 2009;9:S1-S155. doi: https://doi.org/10.1111/j.1600-6143.2009.02834.x
64. Moen MF, Zhan M, Hsu VD, et al. Frequency of Hypoglycemia and Its Significance in Chronic Kidney Disease. Clin J Am Soc Nephrol. 2009;4(6):1121-1127. doi: https://doi.org/10.2215/CJN.00800209
65. Luo C, Constantino IMI, McGill MJ, et al. High rate of asymptomatic hypoglycemia in insulin-treated diabetes with severe chronic kidney disease: Utility of flash interstitial glucose monitoring. Diabetes Manag. 2018;8(5):128-136.
66. Javherani R, Purandare V, Bhatt A, et al. Flash glucose monitoring in subjects with diabetes on hemodialysis: A pilot study. Indian J Endocrinol Metab. 2018;22(6):848. doi: https://doi.org/10.4103/ijem.IJEM_520_18.
67. Pérez-Sáez M, Pascual J. Kidney Transplantation in the Diabetic Patient. J Clin Med. 2015;4(6):1269-1280. doi: https://doi.org/10.3390/jcm4061269
68. Sood A, Abdullah NM, Abdollah F, et al. Rates of Kidney Transplantation From Living and Deceased Donors for Blacks and Whites in the United States, 1998 to 2011. JAMA Intern Med. 2015;175(10):1716. doi: https://doi.org/10.1001/jamainternmed.2015.4530
69. Медвестник. Портал российского врача [интернет]. Доступно по: https://medvestnik.ru/content/news/V-Rossii-uvelichilos-kolichestvo-transplantacii-pochki.html. Ссылка активна на 21.12.2020.
Дополнительные файлы
|
|
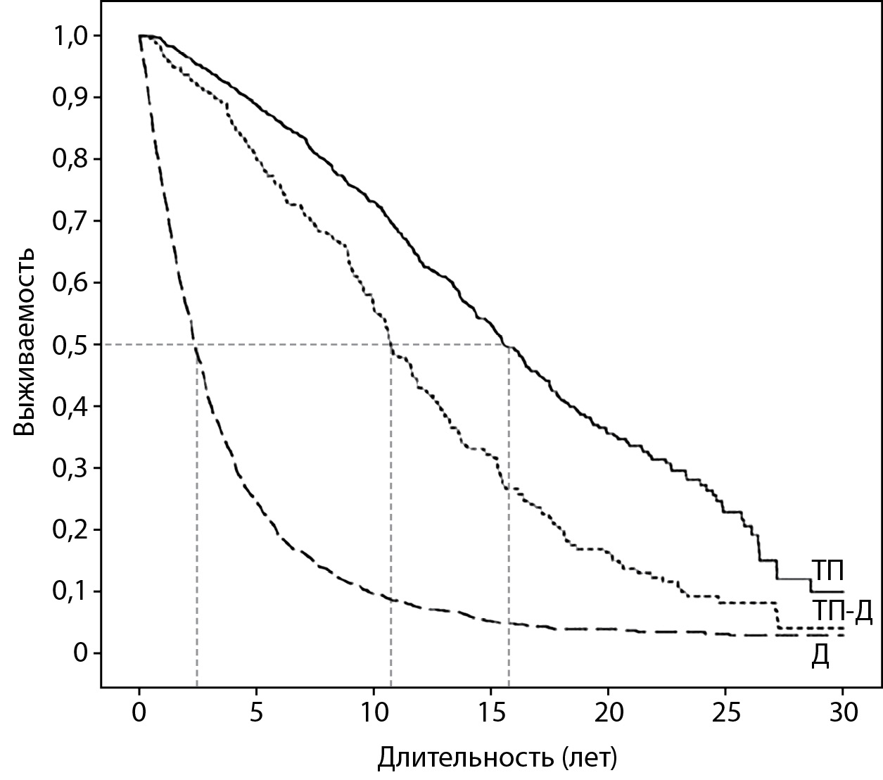
1. Рисунок 1. Выживаемость пациентов с сохранной функцией почечного трансплантата (873 чел.; ТП), пациентов, начавших лечение диализом после утраты почечного трансплантата (273 чел.; ТП-Д), и пациентов, находящихся на лечении диализом (1273 чел.; Д), с момента начала лечения диализом (оценка по Kaplan–Meier) [13]. | |
| Тема | ||
| Тип | Исследовательские инструменты | |
Посмотреть
(128KB)
|
Метаданные ▾ | |
|
|
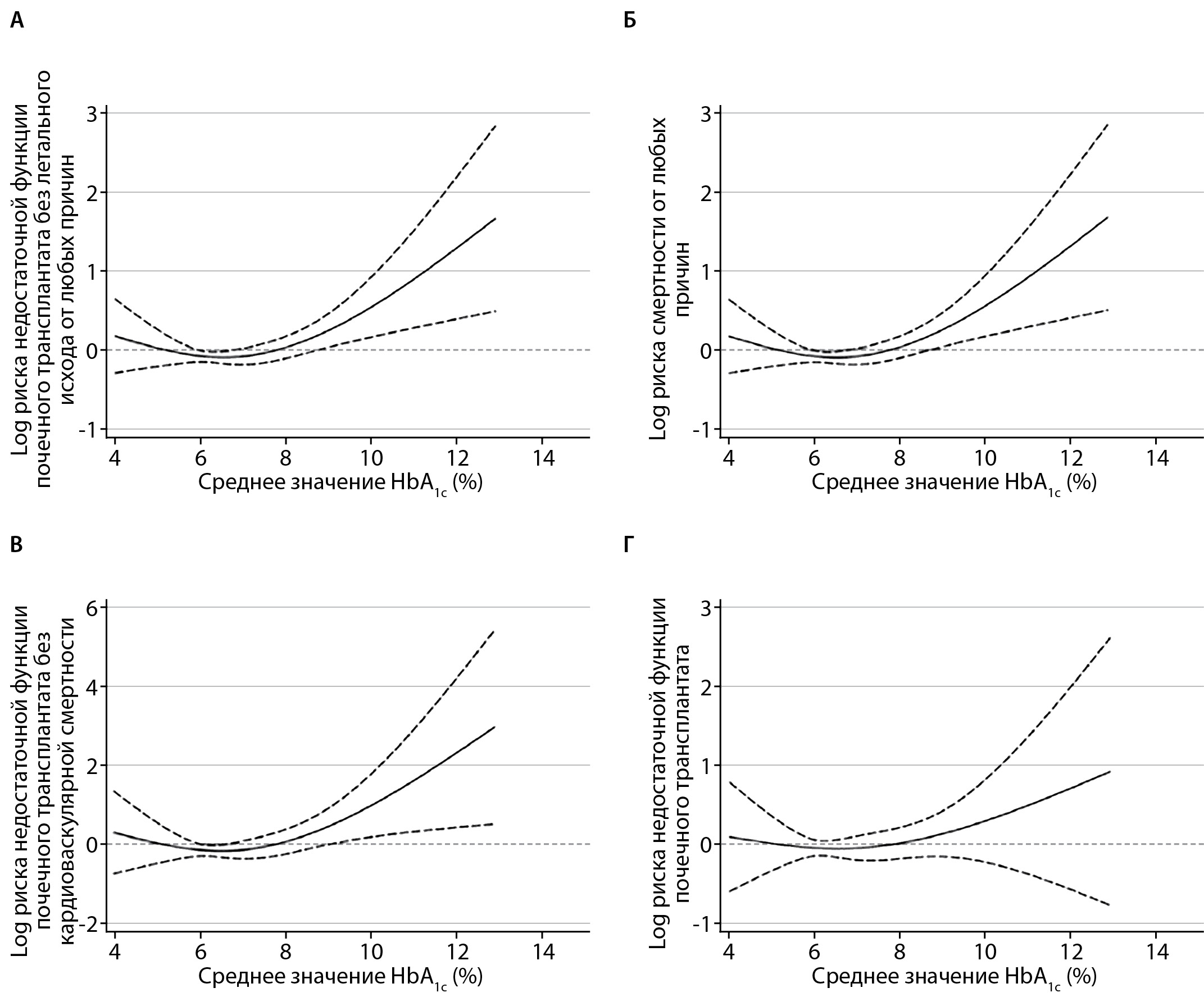
2. Рисунок 2. Относительный риск (95% ДИ) недостаточной функции почечного трансплантата без летального исхода от любых причин (А), смертности реципиентов от любых причин (Б), недостаточной функции почечного трансплантата без кардиоваскулярной смертности (В) и недостаточной функции почечного трансплантата без летального исхода (Г) в зависимости от среднего значения HbA1c перед пересадкой почки у 2872 диализных пациентов с сахарным диабетом при наблюдении в течение 6 лет после трансплантации почки (регрессионный анализ по Cox) [27]. | |
| Тема | ||
| Тип | Исследовательские инструменты | |
Посмотреть
(358KB)
|
Метаданные ▾ | |
Рецензия
Для цитирования:
Мартынов С.А., Северина А.С., Ларина И.И., Шамхалова М.Ш., Арзуманов С.В., Пинчук А.В., Шестакова М.В. Подготовка пациента с сахарным диабетом 1 типа на заместительной почечной терапии диализом к трансплантации почки. Проблемы Эндокринологии. 2020;66(6):18-30. https://doi.org/10.14341/probl12686
For citation:
Martynov S.A., Severina A.S., Larina I.I., Shamhalova M.S., Arzumanov S.V., Pinchuk A.V., Shestakova M.V. Preparation of the dialysis patient with type 1 diabetes mellitus for kidney transplantation. Problems of Endocrinology. 2020;66(6):18-30. (In Russ.) https://doi.org/10.14341/probl12686
Контент доступен под лицензией Creative Commons Attribution-NonCommercial-NoDerivatives 4.0 International License (CC BY-NC-ND 4.0).




































.jpg)

